Siste oppdatering :
18/03/2026
Antibiotika   Azithromycine  
Salver
Injeksjon
Stabilitet av farmasøytiske preparater Stabilitet i blandinger Faktorer som påvirker stabiliteten Kompatibilitet Referanser pdf
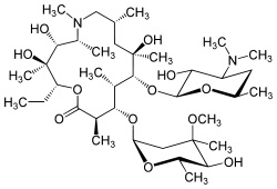
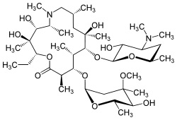
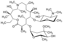
   Kjemisk struktur  

Salver

Faktorer som påvirker stabiliteten   Salver   Faktorer som påvirker stabiliteten : Azithromycine        
Ingen opplysninger

  Mentions Légales