آخر تحديث :
18/03/2026
مضاد حيوي   Azithromycine  
المراهم
حقن
استقرار المستحضرات الصيدلانية استقرار مخاليط العوامل التي تؤثر على الاستقرار التوافق مراجع pdf
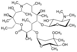
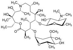
   التركيب الكيميائي  

المراهم

العوامل التي تؤثر على الاستقرار   المراهم   العوامل التي تؤثر على الاستقرار : Azithromycine        
لا توجد بيانات

  Mentions Légales