Last update :
18/03/2026
Antibiotic   Azithromycine  
Ointments
injection
Stability of pharmaceutical preparations Stability of mixtures Factors which affect stability Compatibility References pdf
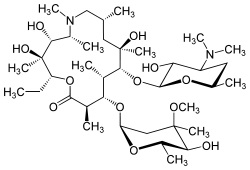
   Chemical structure  

Ointments

Factors which affect stability   Ointments   Factors which affect stability : Azithromycine        
No data

  Mentions Légales