Pēdējā atjaunošana :
18/03/2026
Antibiotika   Azithromycine  
Ziedes
Injekcija
Stabilitāte farmaceitisko preparātu Maisījuma stabilitāte Stabilitāti ietekmējoši faktori Saderība Literatūras saraksts pdf
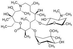
   Ķīmiskā uzbūve   

Ziedes

Stabilitāti ietekmējoši faktori   Ziedes   Stabilitāti ietekmējoši faktori : Azithromycine        
Nav datu

  Mentions Légales