zadnja posodobitev :
18/03/2026
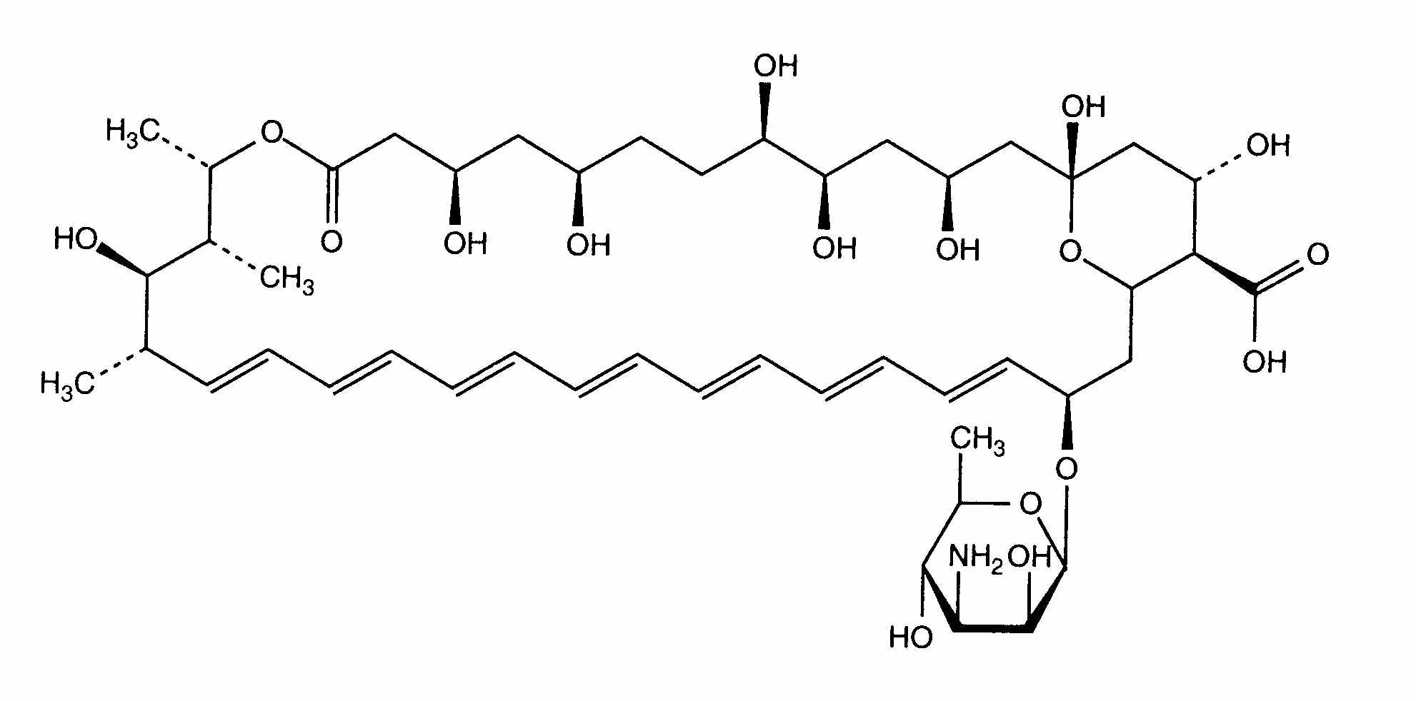
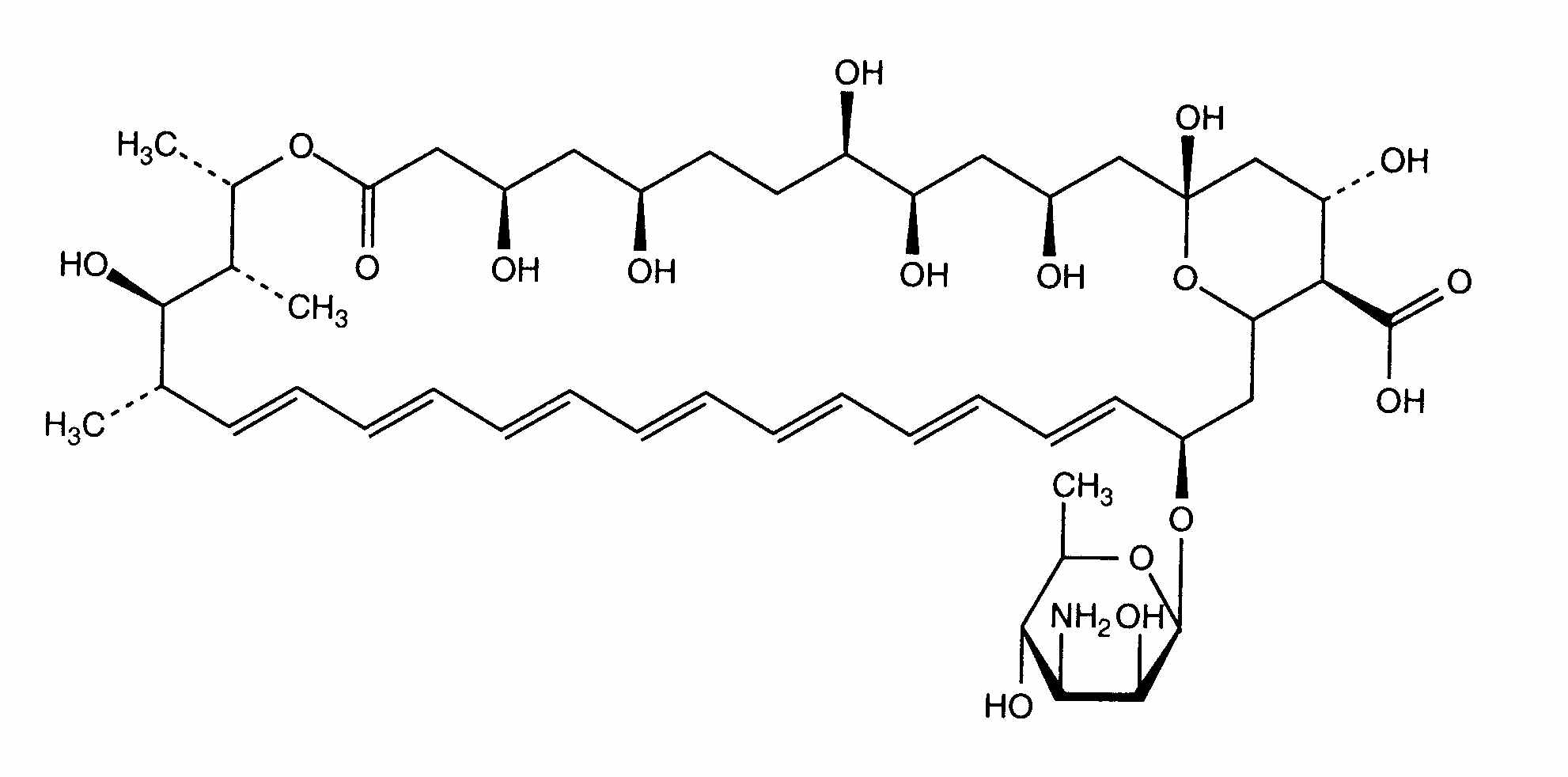
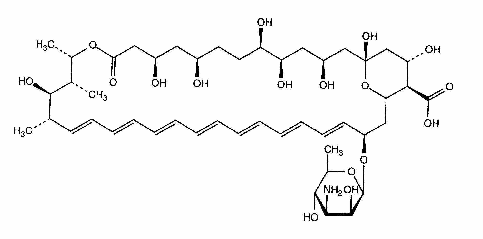
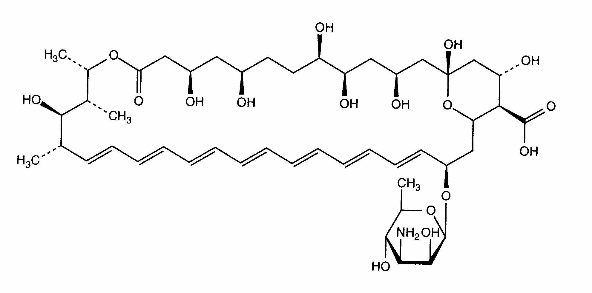
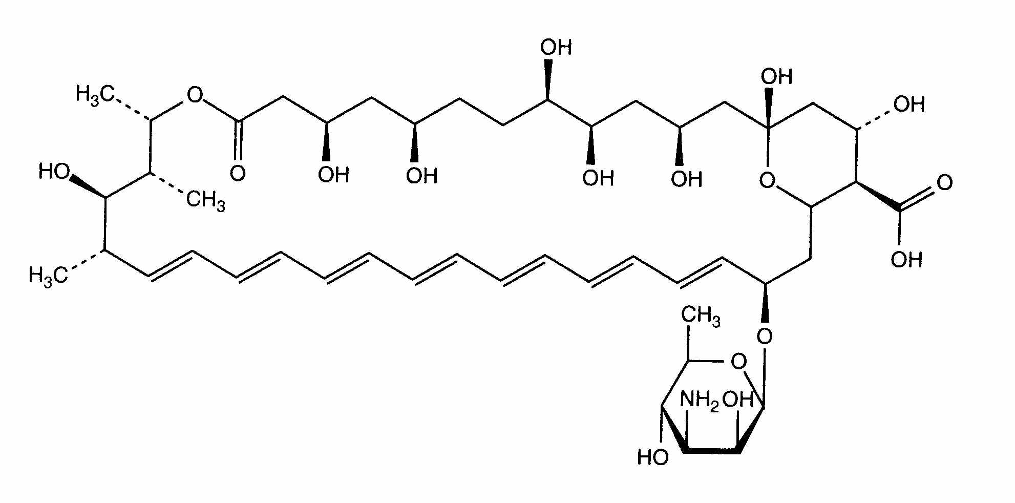
Antimikotik   Amphotericin B liposomale  
Kapljice za oči
Brizgalka
Stabilnost farmacevtskih preparatov Stabilnost mešanice Faktorji, ki vplivajo na stabilnost Kompatibilnost Viri pdf
Liposom   Kemična formula  

Kapljice za oči
Stabilnost farmacevtskih preparatov   Kapljice za oči   Stabilnost farmacevtskih preparatov : Amphotericin B liposomale     
Vsebnik Origine Ekscipient Temperatura Shranjevanje Trajanje stabilnosti Viri
Steklo Medicinske steklenica za injiciranje 5 mg
Ambisome®
Voda za injekcije >> 1 ml
2-8°C Zaščiteno pred svetlobo
180 Dan
2654

Steklo Medicinske steklenica za injiciranje 5 mg
Ambisome®
Voda za injekcije >> 1 ml
25°C Zaščiteno pred svetlobo
180 Dan
2654


  Mentions Légales