Dernière mise à jour :
27/11/2025
Antifongique   Amphotericin B liposomale  
Collyre
injectable
Stabilité des préparations Stabilité en mélange Facteur influençant la stabilité Compatibilités Bibliographie pdf
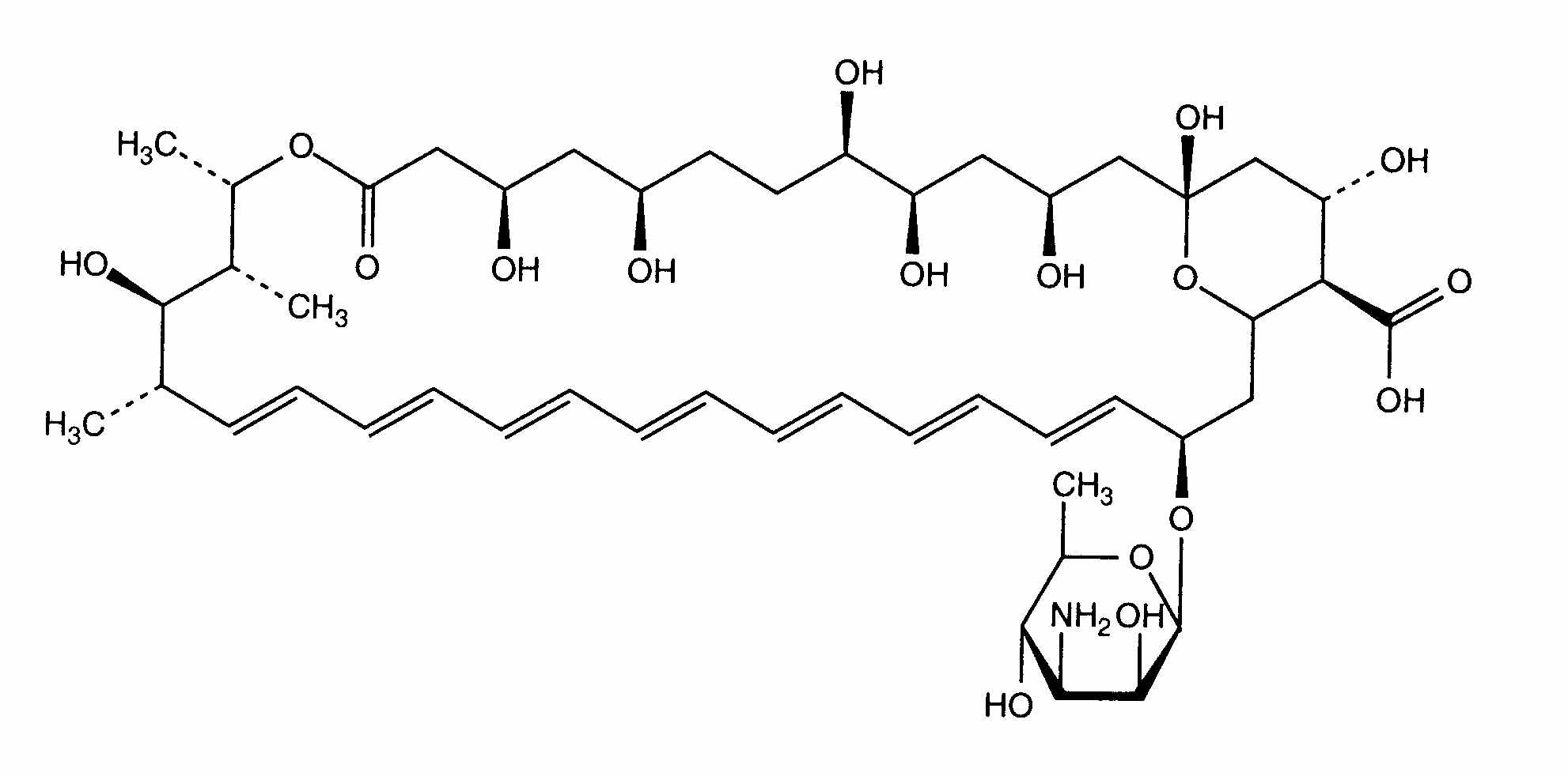
Liposome   Structure chimique  

Collyre
Stabilité des préparations   Collyre   Stabilité des préparations : Amphotericin B liposomale     
Contenant Origine Excipient Température Conservation Durée de stabilité Bibliographie
Verre Flacon injectable 5 mg
Ambisome®
Eau ppi >> 1 ml
2-8°C A l’abri de la lumière
180 Jour
2654

Verre Flacon injectable 5 mg
Ambisome®
Eau ppi >> 1 ml
25°C A l’abri de la lumière
180 Jour
2654


  Mentions Légales