Poslední aktualizace :
27/11/2025
Protiplísňový přípravek   Amphotericin B liposomale  
Humbuk
injekce
Stabilita farmaceutických přípravků Stabilita směsí Faktory ovlivňující stabilitu Kompatibilita Odkazy pdf
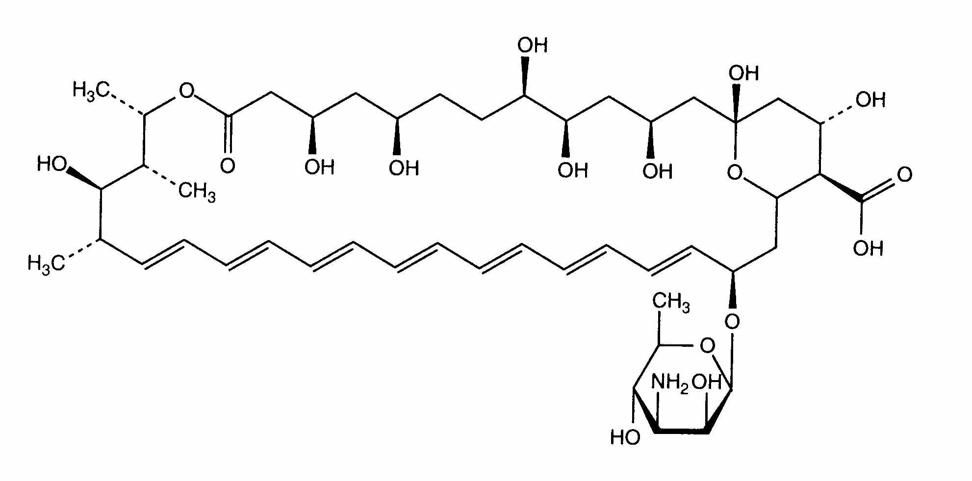
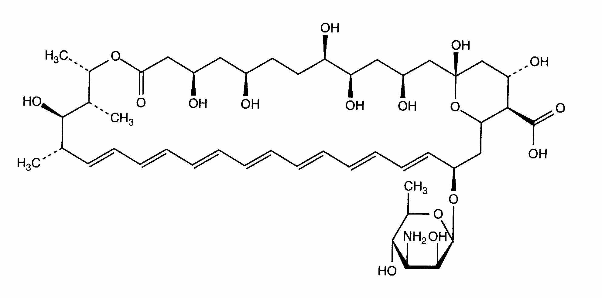
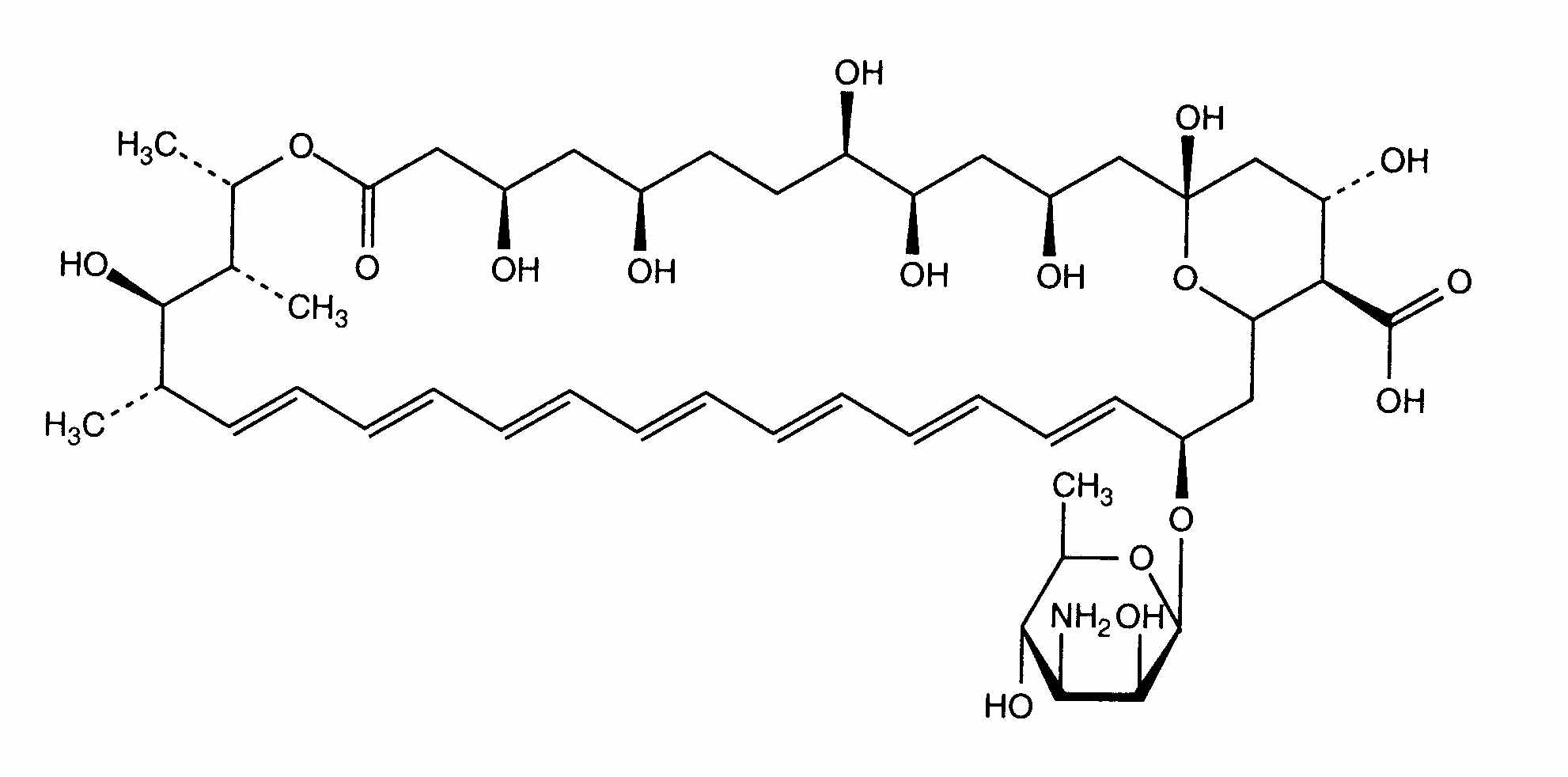
Lipozom   Chemický vzorec  

Humbuk
Stabilita farmaceutických přípravků   Humbuk   Stabilita farmaceutických přípravků : Amphotericin B liposomale     
Obal Origine Pomocné látky Teplota Uchovávání Trvání stability Odkazy
Sklo Lékovka pro injekci 5 mg
Ambisome®
voda na injekci >> 1 ml
2-8°C Chráněno před světlem
180 Den
2654

Sklo Lékovka pro injekci 5 mg
Ambisome®
voda na injekci >> 1 ml
25°C Chráněno před světlem
180 Den
2654


  Mentions Légales