Последно актуализиране :
27/11/2025
Противогъбично средство   Amphotericin B liposomale  
Капки за очи
Инжекция/Инжекционен
Стабилност на лекарствени препарати Стабилност на смеси Фактори, повлияващи стабилността Съвместимост Библиография Pdf
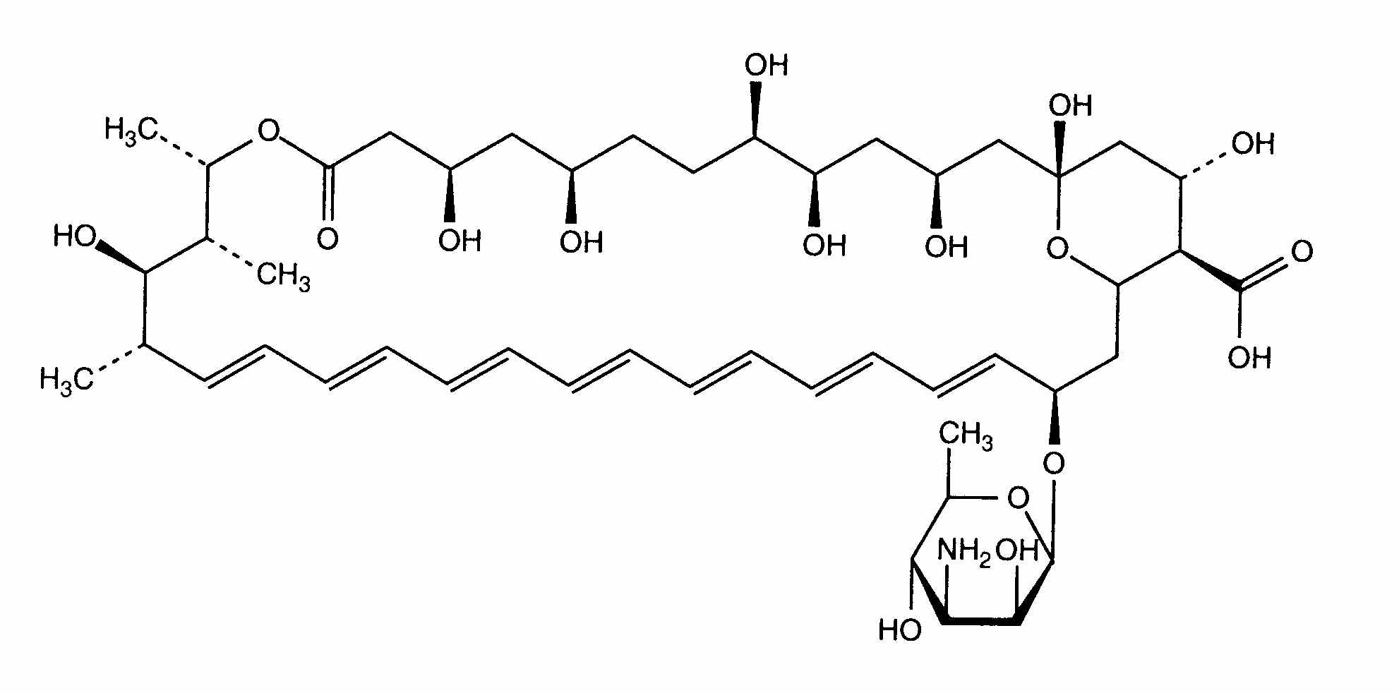
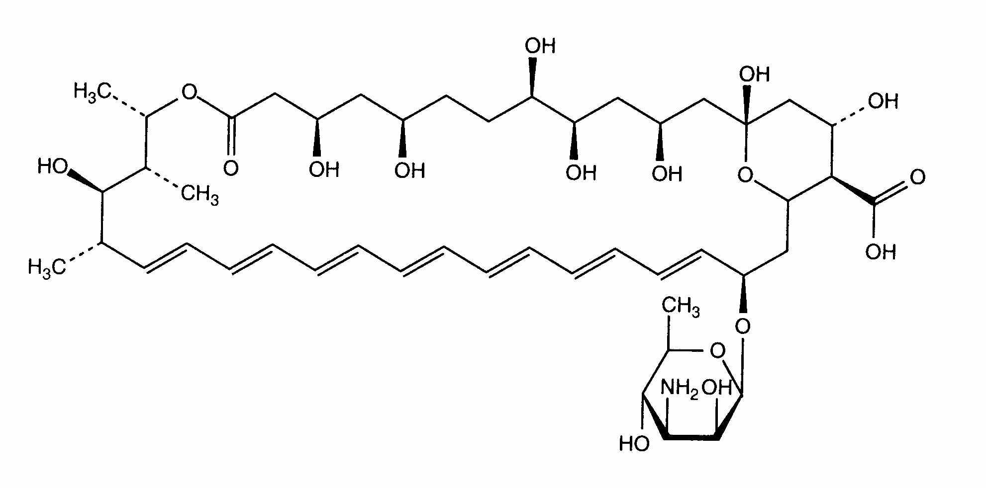
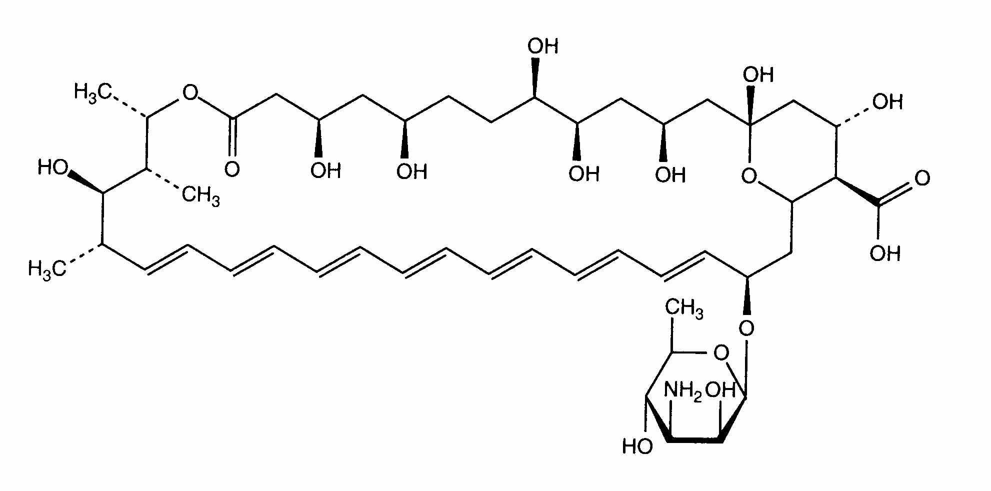
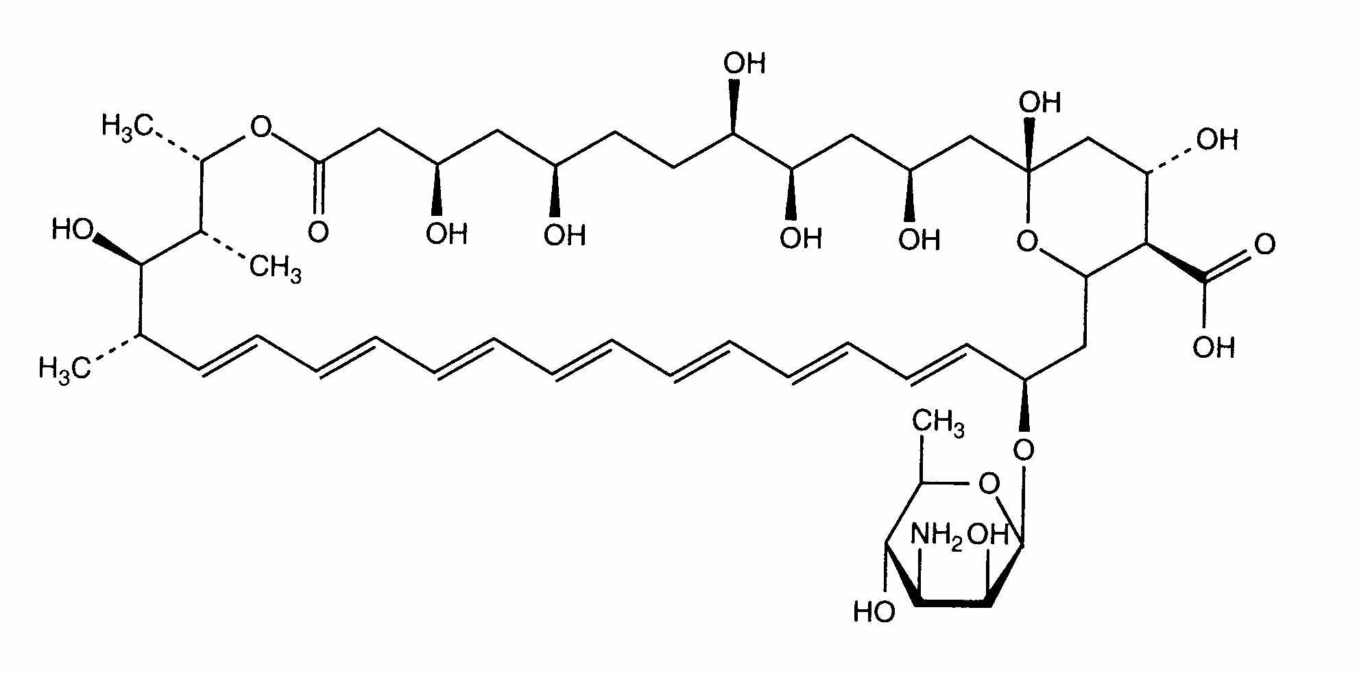
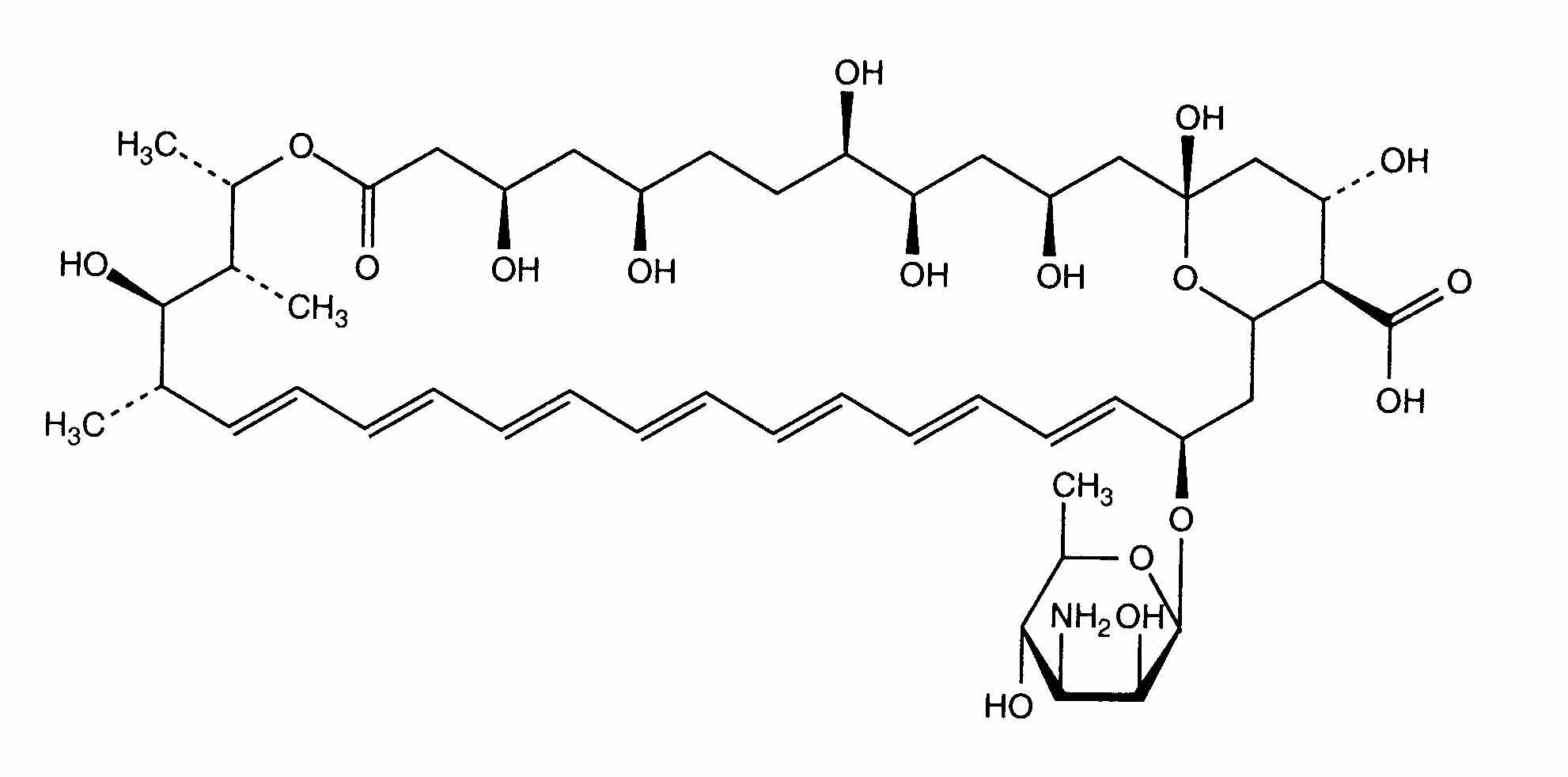
липозомен   Химична структура  

Капки за очи
Стабилност на лекарствени препарати   Капки за очи   Стабилност на лекарствени препарати : Amphotericin B liposomale     
Контейнер Origine Помощно вещество Температура Съхранение Продължителност на стабилността Библиография
Стъкло Фпакон 5 mg
Ambisome®
Вода за инжекции >> 1 ml
2-8°C Защита от светлина
180 Ден
2654

Стъкло Фпакон 5 mg
Ambisome®
Вода за инжекции >> 1 ml
25°C Защита от светлина
180 Ден
2654


  Mentions Légales