Ultimele actualizari :
18/03/2026
Antifungic   Amphotericin B liposomale  
colir
Injectabil
Stabilitatea preparatelor farmaceutice Stabilitatea in amestec Factorii care influenteaza stabilitatea Compatibilitate Bibliografie pdf
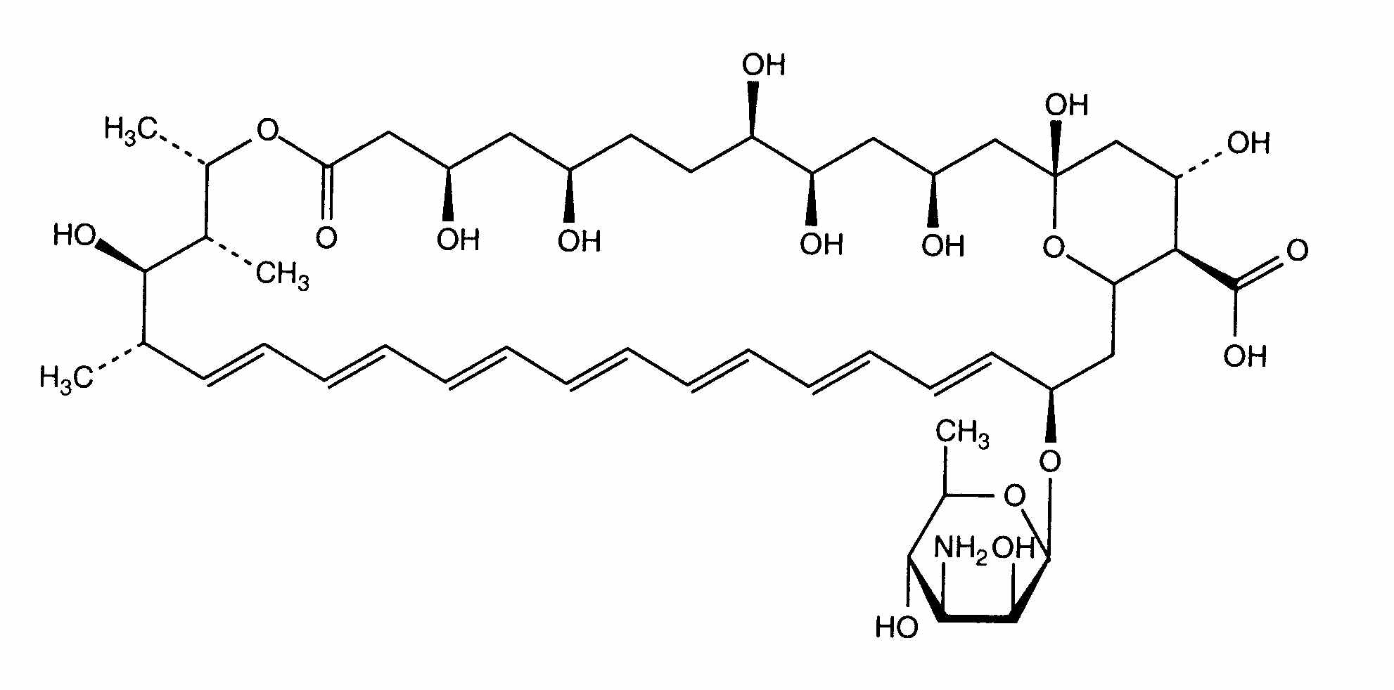
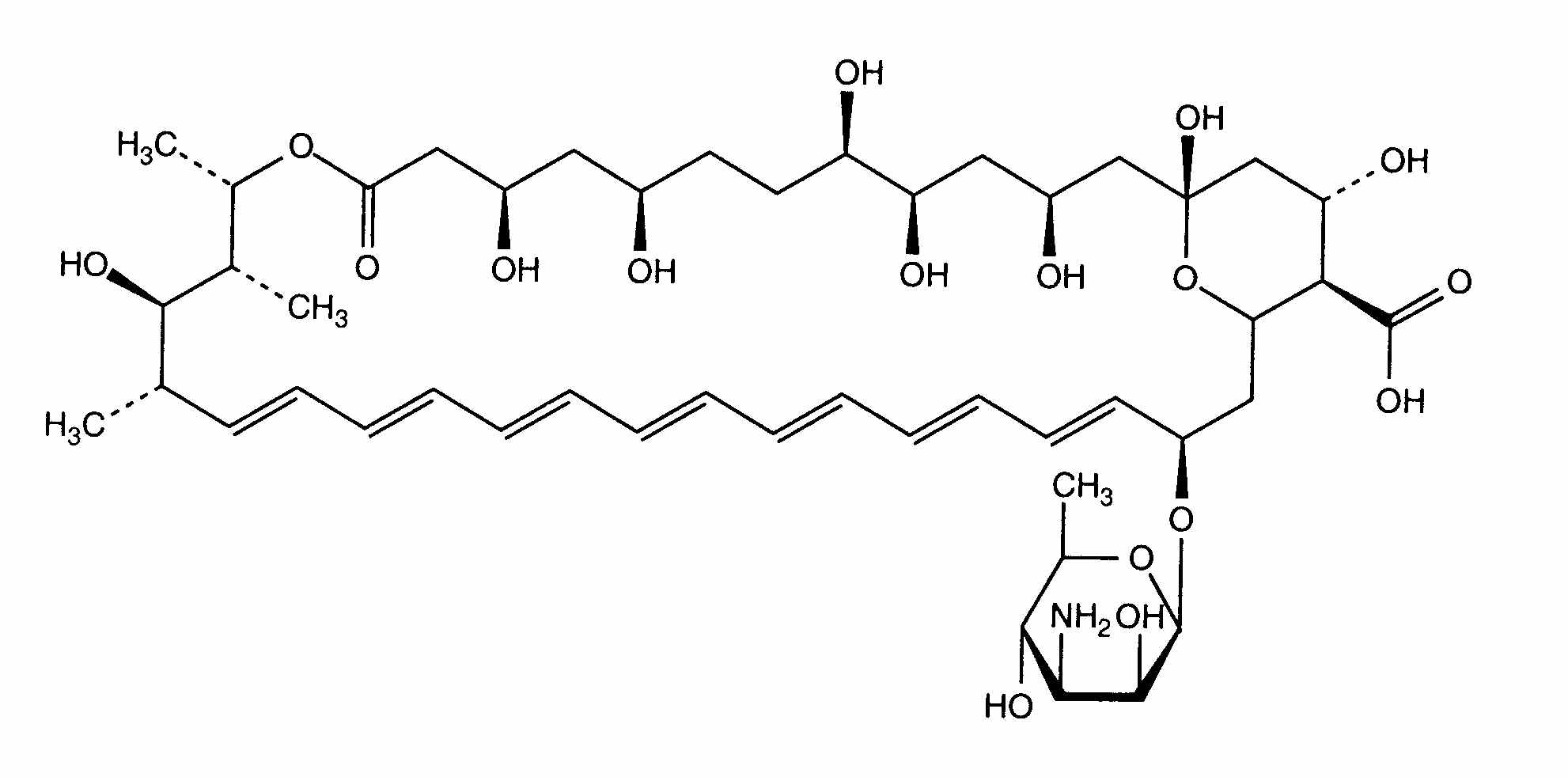
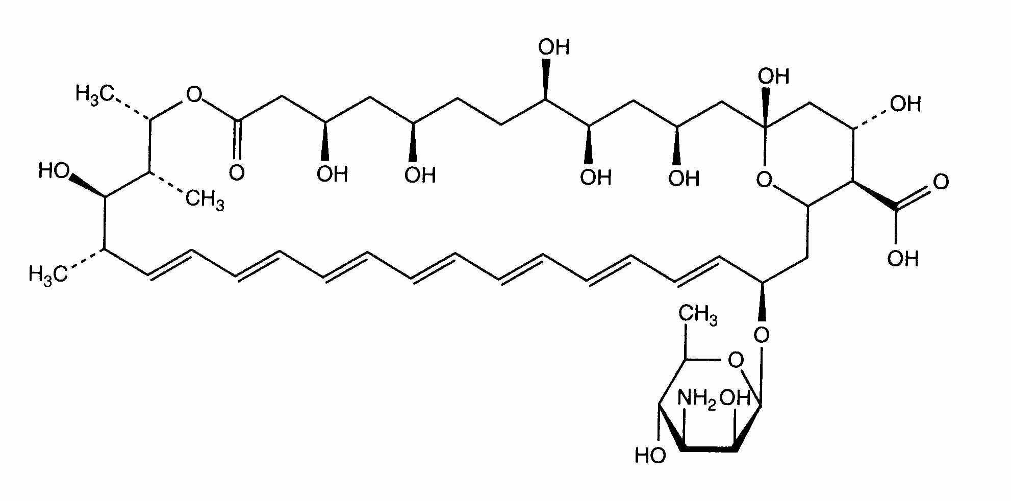
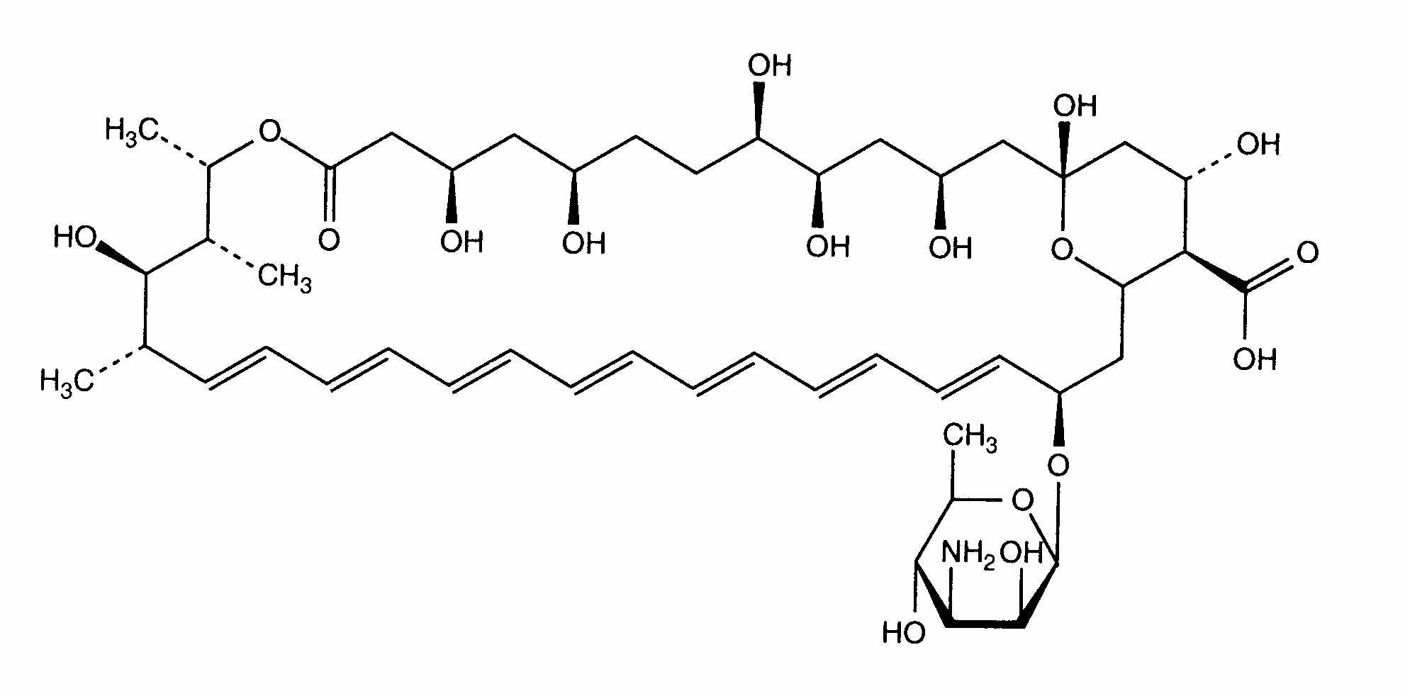
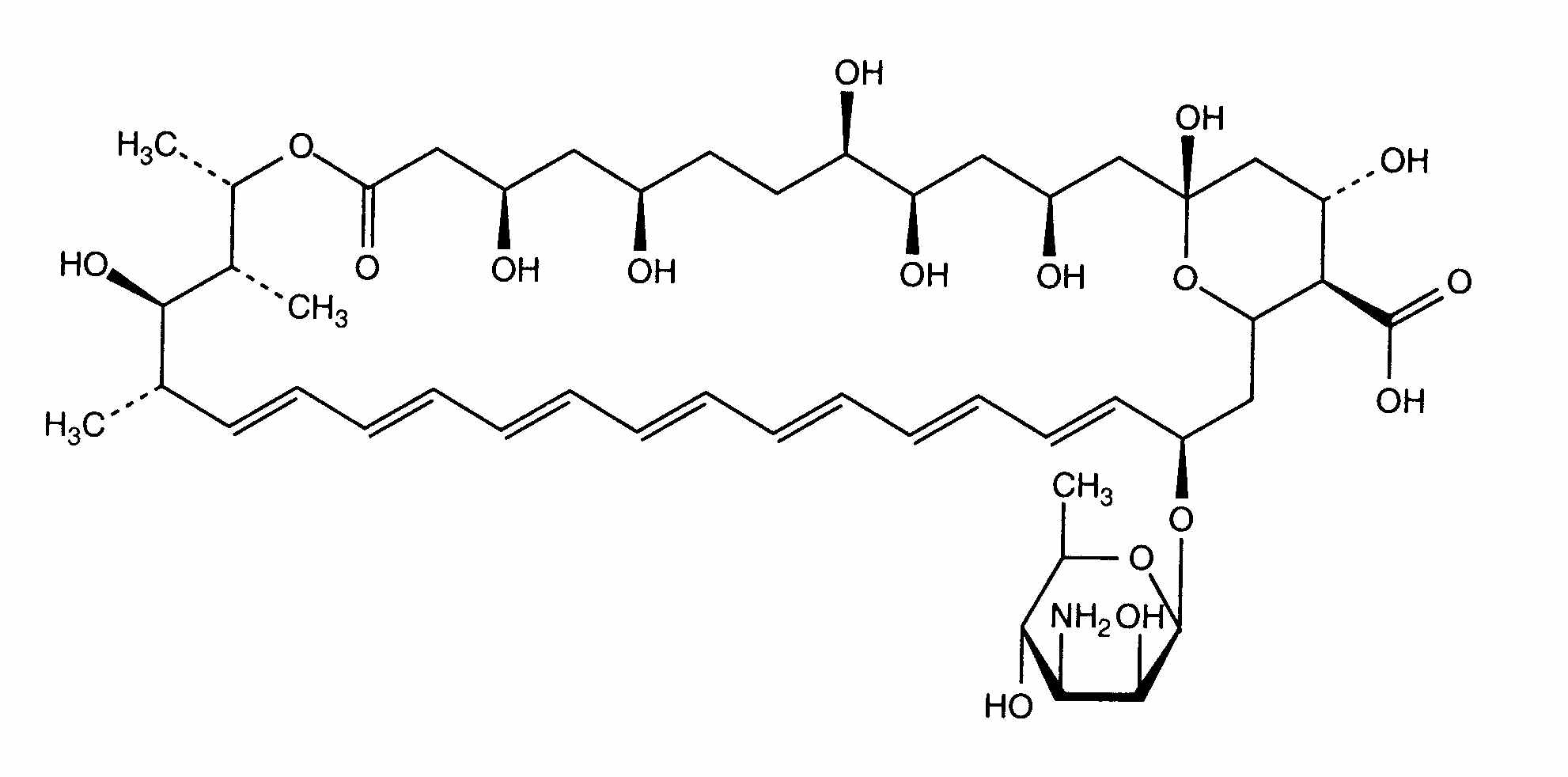
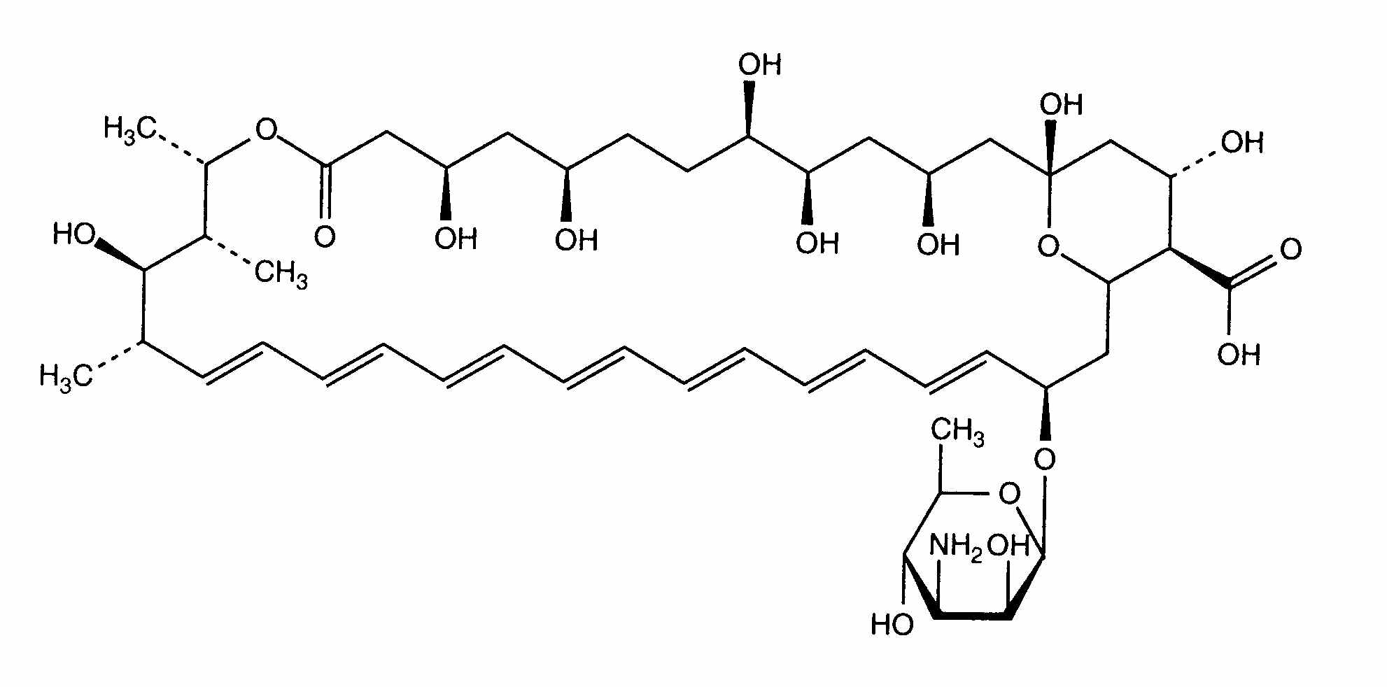
Lipozom   Formula chimica  

colir
Stabilitatea preparatelor farmaceutice   colir   Stabilitatea preparatelor farmaceutice : Amphotericin B liposomale     
Continut Origine Excipient Temperatura Conservare Durata stabilității Bibiografie
sticla Flacon Flacon pentru medicament injectabil pentru injecţie 5 mg
Ambisome®
Apă pentru preparate injectabile >> 1 ml
2-8°C Ferit de lumina
180 Ziua
2654

sticla Flacon Flacon pentru medicament injectabil pentru injecţie 5 mg
Ambisome®
Apă pentru preparate injectabile >> 1 ml
25°C Ferit de lumina
180 Ziua
2654


  Mentions Légales