Son güncelleme :
31/03/2026
Infostab
Listeler
Listeler
Uyumluluk arayın
Y site uyumluluk tablosu
Kaynaklar
Araştırma Takımlar
valistab
afiş
Bağlantıları
sponsorlar
Yazar
Kullanıcı rehberi
Bültenini
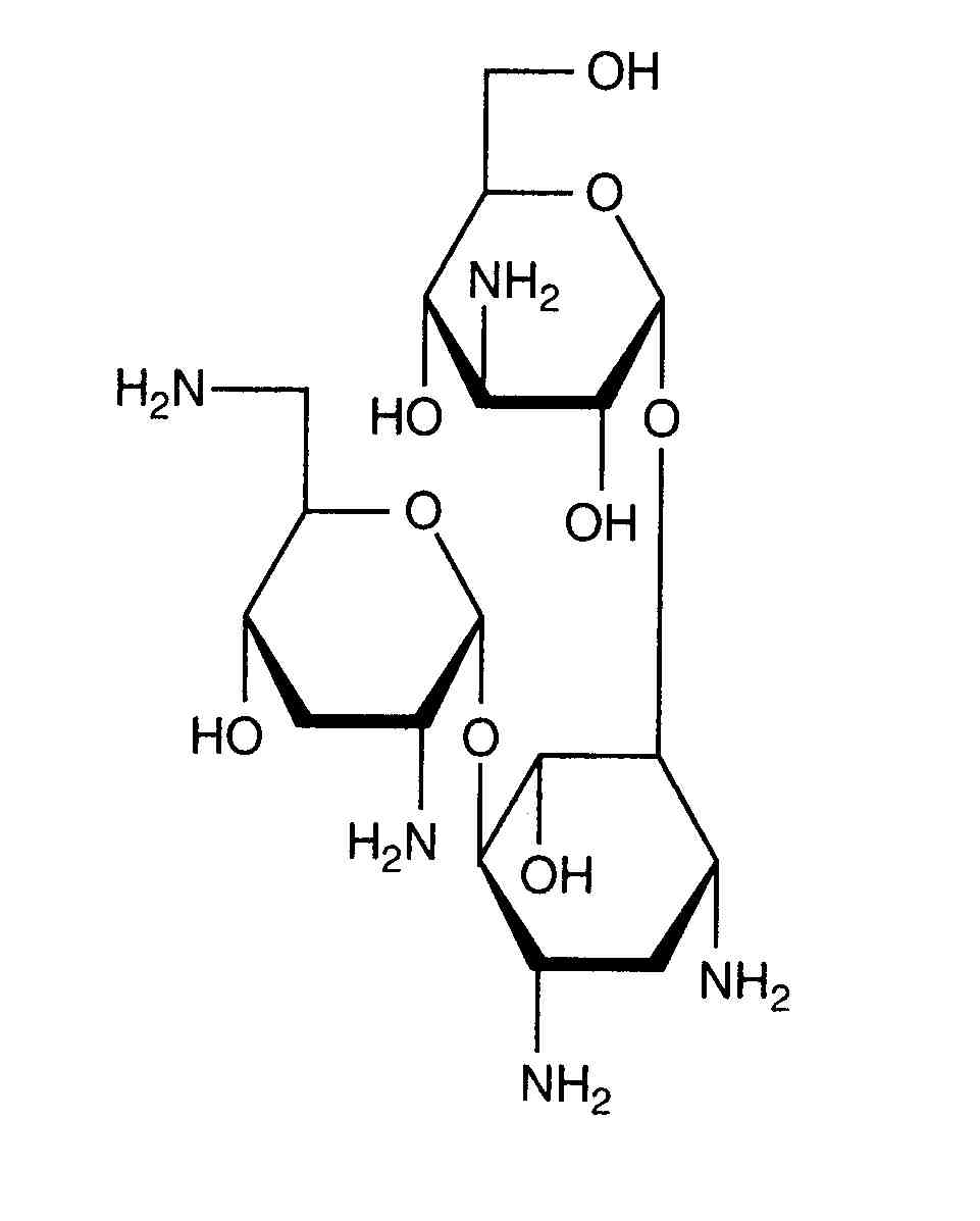
Tobramycin sulfate
Kimyasal yapı
Kaynaklar : Tobramycin sulfate
tip
yayın
2960
Dergi
Gooch MD.
Stability of albuterol and tobramycin when mixed for aerosol administration.
Respiratory Care 1991 ; 36: 1387-1390.
3431
Dergi
Law S.
Stability of preservative-free tobramycin in half-normal saline.
Can J Hosp Pharm 2001 ; 54, 3: 214-215.
3440
Dergi
Wollstadt A, Krämer I, Kamin W.
Physicochemical compatibility of nebulizable drug admixtures containing colistimethate and tobramycin.
Pharmazie 2013 ; 68: 744-748.
3472
Dergi
Krämer I, Schwabe A, Kamin W.
Physikalisch-chemische kompatilibität von Mischinhalationslösungen und suspensionen zur simultanen feuchtinhalationstherapie bei Mukoviszidose Patienten.
Krankenhauspharmazie 2007 ; 28, 5: 170-178.
Mentions Légales