Seneste opdatering :
31/03/2026
Antibiotisk   Tobramycin sulfate  
Aerosol
Injektion Oral opløsning Øjendråber
Stabilitet af farmaceutiske tilberedninger Stabilitet i blandinger Faktorer der påvirker stabiliteten Kompatibilitet Bibliografi pdf
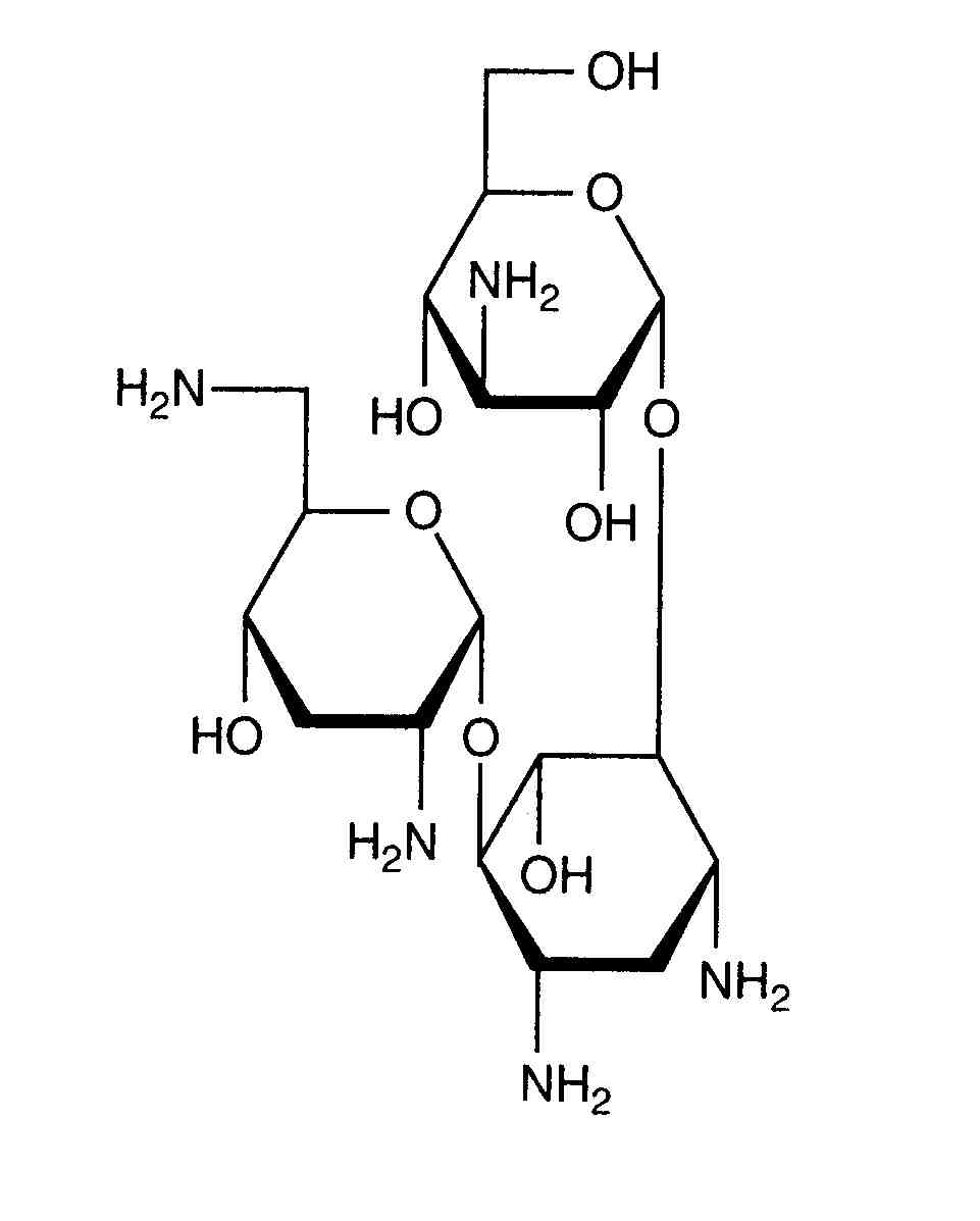
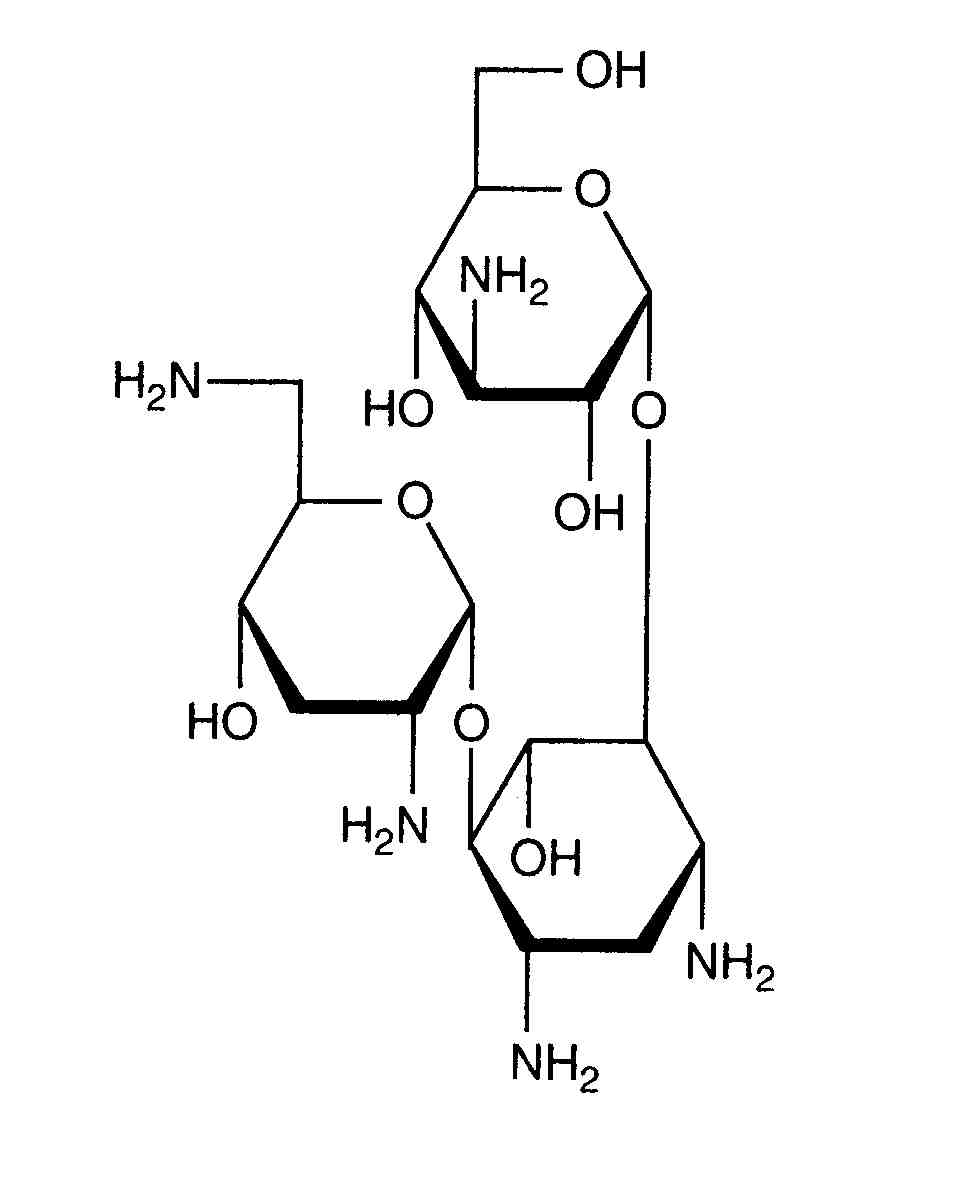
   Kemisk struktur  

Aerosol
Bibliografi   Aerosol   Bibliografi : Tobramycin sulfate  
Type offentliggørelse
2960 Journal Gooch MD.
Stability of albuterol and tobramycin when mixed for aerosol administration.
Respiratory Care 1991 ; 36: 1387-1390.
3431 Journal Law S.
Stability of preservative-free tobramycin in half-normal saline.
Can J Hosp Pharm 2001 ; 54, 3: 214-215.
3440 Journal Wollstadt A, Krämer I, Kamin W.
Physicochemical compatibility of nebulizable drug admixtures containing colistimethate and tobramycin.
Pharmazie 2013 ; 68: 744-748.
3472 Journal Krämer I, Schwabe A, Kamin W.
Physikalisch-chemische kompatilibität von Mischinhalationslösungen und suspensionen zur simultanen feuchtinhalationstherapie bei Mukoviszidose Patienten.
Krankenhauspharmazie 2007 ; 28, 5: 170-178.

  Mentions Légales