Última actualização :
31/03/2026
Infostab
Lista de compostos
Listas de leitura dos resumos de informação
Pesquise compatibilidades
Tabela de compatibilidade do site Y
Bibliografía
As equipas de investigação
valistab
poster
Conexões
patrocinadores
Autores
Manual do utilizador
Boletim de notícias
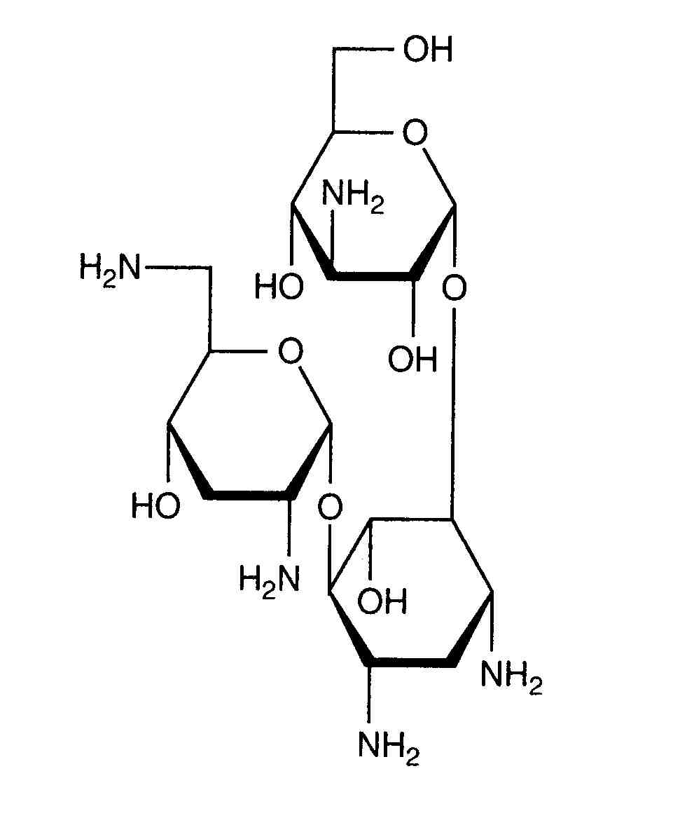
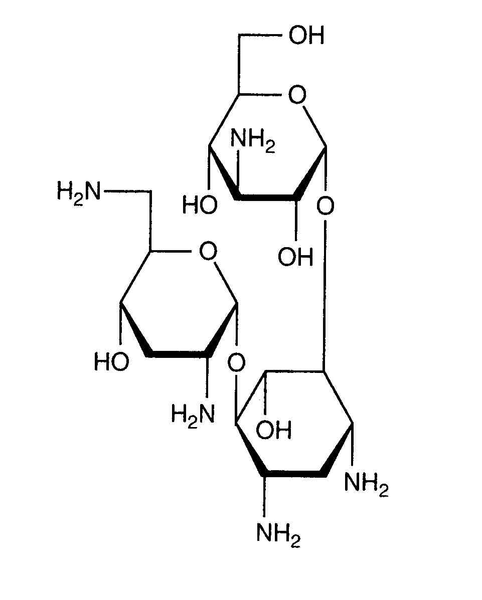
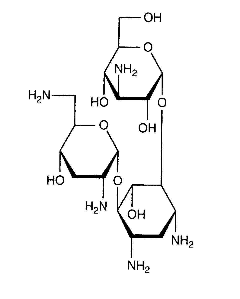
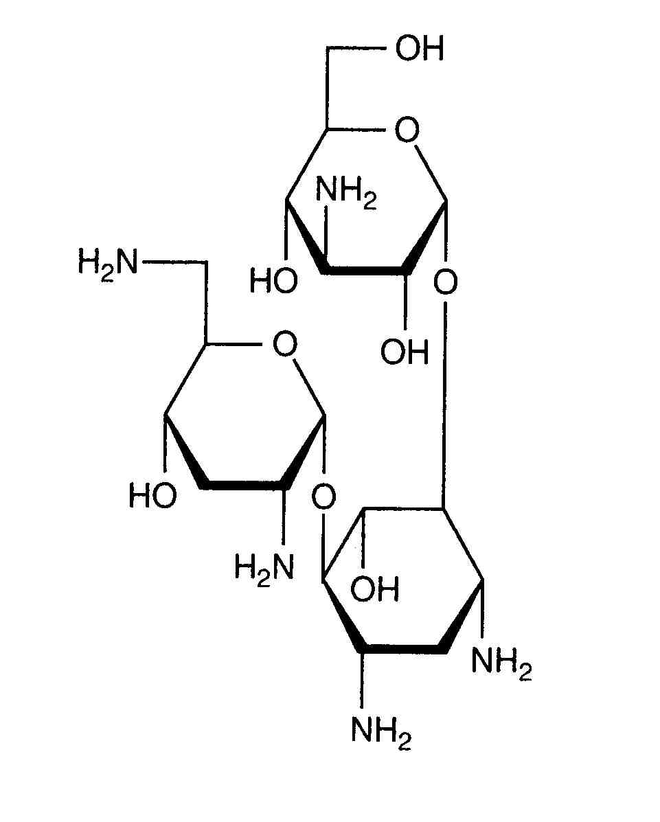
Tobramycin sulfate
estrutura química
Bibliografía : Tobramycin sulfate
tipo
publicação
2960
jornal
Gooch MD.
Stability of albuterol and tobramycin when mixed for aerosol administration.
Respiratory Care 1991 ; 36: 1387-1390.
3431
jornal
Law S.
Stability of preservative-free tobramycin in half-normal saline.
Can J Hosp Pharm 2001 ; 54, 3: 214-215.
3440
jornal
Wollstadt A, Krämer I, Kamin W.
Physicochemical compatibility of nebulizable drug admixtures containing colistimethate and tobramycin.
Pharmazie 2013 ; 68: 744-748.
3472
jornal
Krämer I, Schwabe A, Kamin W.
Physikalisch-chemische kompatilibität von Mischinhalationslösungen und suspensionen zur simultanen feuchtinhalationstherapie bei Mukoviszidose Patienten.
Krankenhauspharmazie 2007 ; 28, 5: 170-178.
Mentions Légales