Última actualización :
18/03/2026
fármacos contra el cáncer   Paclitaxel  
Inyectables
Estabilidad en solucion Estabilidad en mezcla Factores que influyen sobre la estabilidad Compatibilidades método de inyección Bibliografía pdf
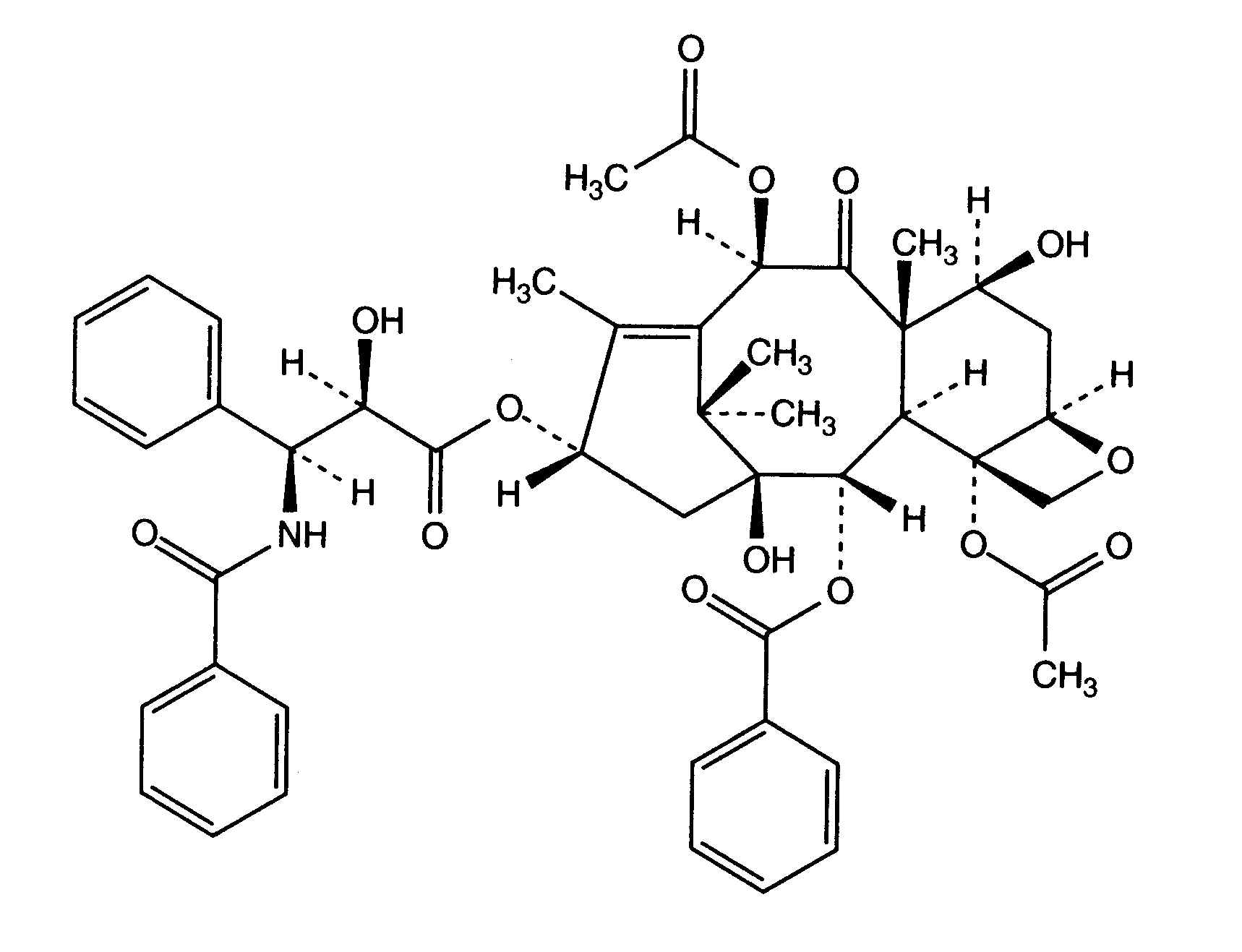
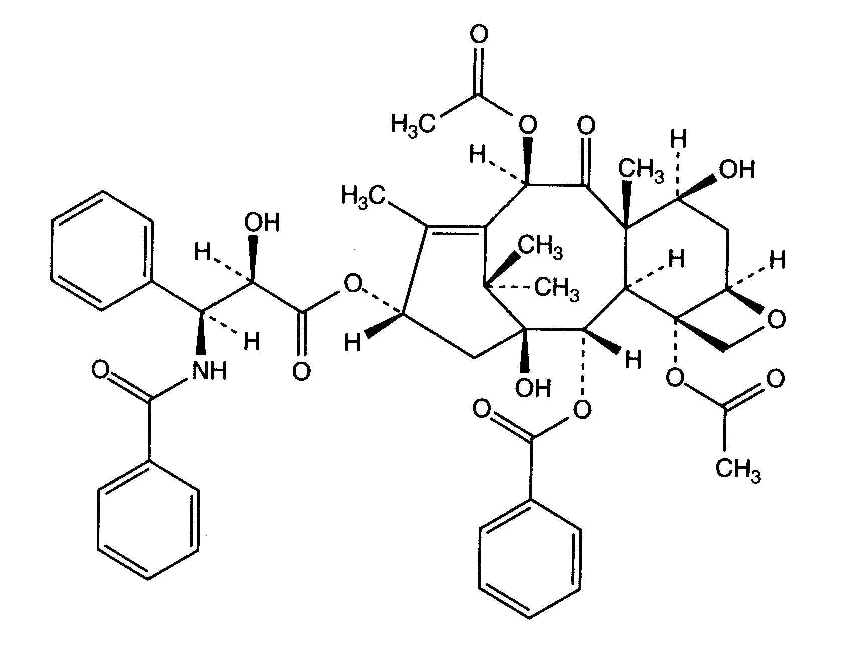
   Estructura química  

Nombre comercial   Nombre comercial     

Los nombres comerciales son orientativos y los excipientes de la formulación pueden ser distintos dependiendo del país y del laboratorio fabricante.

Aclipak Malasia
Acoexcel México
Acupaxil Marruecos
Anzatax Arabia Saudita, Egipto, Emiratos Árabes Unidos, Irán, Malasia, Marruecos, Marruecos, Nueva Zelanda, Túnez, Turquía
Aritaxel Alemania
Cantaxel India
Clitaxel Argentina, Venezuela
Dalys Argentina
Ebetaxel Arabia Saudita, Austria, Irán, Marruecos, Túnez, Turquía
Genexol Egipto, India, Irán
Onxol Estados Unidos de América
Paclinova Argentina
Paclitaxin Brasil, Eslovenia, Luxemburgo, Malasia
Parexel Brasil, Colombia, Ecuador, Venezuela
Paxene Dinamarca, España, Grecia, Irlanda, Países Bajos, Polonia
Poltaxel Polonia
Ribotax Alemania
Taxol Austria, Brasil, Colombia, Dinamarca, Egipto, Emiratos Árabes Unidos, Eslovenia, Grecia, Irán, Italia, Japón, Malasia, Marruecos, Marruecos, Nueva Zelanda, Países Bajos, Polonia, Portugal, Suecia, Suiza, Turquía, Venezuela
Taxomedac Alemania
Vitax Brasil, Marruecos, Turquía
Estabilidad en solucion   Inyectables   Estabilidad en solucion : Paclitaxel     
Envase Solvente Concentración Temperatura Conservación Duración de la estabilidad Bibliografía
Vidrio Cloruro de sodio 0,9% 0.3 mg/ml 2-8°C A cubierto de la luz
13 Día
2172
Nivel de evidencia A+

Vidrio Cloruro de sodio 0,9% 0.3 mg/ml 25°C A cubierto de la luz
3 Día
2172
Nivel de evidencia A+

Vidrio Cloruro de sodio 0,9% 1,2 mg/ml 30°C A cubierto de la luz
4 Día
173
Nivel de evidencia A

Vidrio Cloruro de sodio 0,9% 1.2 mg/ml 2-8°C A cubierto de la luz
8 Día
2172
Nivel de evidencia A+

Vidrio Cloruro de sodio 0,9% 1.2 mg/ml 25°C A cubierto de la luz
5 Día
2172
Nivel de evidencia A+

Vidrio Glucosa 5% 0,4 & 1,2 mg/ml 20°C-25°C Luz
5 Día
1865
Nivel de evidencia B

Vidrio Glucosa 5% 0.3 mg/ml 2-8°C A cubierto de la luz
20 Día
2172
Nivel de evidencia A+

Vidrio Glucosa 5% 0.3 & 1.2 mg/ml 25°C A cubierto de la luz
7 Día
2172
Nivel de evidencia A+

Vidrio Glucosa 5% 1,2 mg/ml 30°C A cubierto de la luz
4 Día
173
Nivel de evidencia A

Vidrio Glucosa 5% 1.2 mg/ml 2-8°C A cubierto de la luz
8 Día
2172
Nivel de evidencia A+

Polietileno Cloruro de sodio 0,9% 0.3 mg/ml 2-8°C A cubierto de la luz
13 Día
2172
Nivel de evidencia A+

Polietileno Cloruro de sodio 0,9% 0.3 & 1.2 mg/ml 25°C A cubierto de la luz
3 Día
2172
Nivel de evidencia A+

Polietileno Cloruro de sodio 0,9% 1.2 mg/ml 2-8°C A cubierto de la luz
9 Día
2172
Nivel de evidencia A+

Polietileno Glucosa 5% 0,4 & 1,2 mg/ml 20°C-25°C Con o sin luz
5 Día
1865
Nivel de evidencia B

Polietileno Glucosa 5% 0,4 & 1,2 mg/ml 25°C Con o sin luz
5 Día
1520
Datos de estabilidad del fabricante

Polietileno Glucosa 5% 0,4 & 1,2 mg/ml 4°C No precisada
5 Día
1520
Datos de estabilidad del fabricante

Polietileno Glucosa 5% 0,4 & 1,2 mg/ml 4°C A cubierto de la luz
5 Día
1865
Nivel de evidencia B

Polietileno Glucosa 5% 0.3 mg/ml 2-8°C A cubierto de la luz
13 Día
2172
Nivel de evidencia A+

Polietileno Glucosa 5% 0.3 & 1.2 mg/ml 25°C A cubierto de la luz
3 Día
2172
Nivel de evidencia A+

Polietileno Glucosa 5% 1.2 mg/ml 2-8°C A cubierto de la luz
10 Día
2172
Nivel de evidencia A+

Poliolefina Cloruro de sodio 0,9% 0,1 & 1 mg/ml 22°C No precisada
3 Día
157
Nivel de evidencia A+

Poliolefina Cloruro de sodio 0,9% 0,1 & 1 mg/ml 32°C No precisada
3 Día
157
Nivel de evidencia A+

Poliolefina Cloruro de sodio 0,9% 0,1 & 1 mg/ml 4°C A cubierto de la luz
3 Día
157
Nivel de evidencia A+

Poliolefina Cloruro de sodio 0,9% 0,3 mg/ml 5°C A cubierto de la luz
28 Día
2174
Nivel de evidencia A+

Poliolefina Cloruro de sodio 0,9% 0,3 & 0,75 mg/ml 25°C A cubierto de la luz
6 Día
2174
Nivel de evidencia A+

Poliolefina Cloruro de sodio 0,9% 0,3 & 1,2 mg/ml 20°C-23°C Luz
48 Hora
669
Nivel de evidencia A

Poliolefina Cloruro de sodio 0,9% 0,3 & 1,2 mg/ml 25°C A cubierto de la luz
72 Hora
1522
Datos de estabilidad del fabricante

Poliolefina Cloruro de sodio 0,9% 0,3 &1,2 mg/ml 4°C A cubierto de la luz
72 Hora
2014
Nivel de evidencia C

Poliolefina Cloruro de sodio 0,9% 0,3 >>1,2 mg/ml 30°C A cubierto de la luz
4 Día
173
Nivel de evidencia A

Poliolefina Cloruro de sodio 0,9% 0,6 mg/ml 20°C-23°C No precisada
25 Hora
412
Nivel de evidencia A

Poliolefina Cloruro de sodio 0,9% 0,75 mg/ml 5°C A cubierto de la luz
16 Día
2174
Nivel de evidencia A+

Poliolefina Cloruro de sodio 0,9% 0.3 > 1.2 mg/ml 25°C Luz
72 Hora
1956
Datos de estabilidad del fabricante

Poliolefina Cloruro de sodio 0,9% 0.3 > 1.2 mg/ml 5°C A cubierto de la luz
28 Día
1956
Datos de estabilidad del fabricante

Poliolefina Cloruro de sodio 0,9% 1,2 mg/ml 20°C-23°C No precisada
25 Hora
412
Nivel de evidencia A

Poliolefina Cloruro de sodio 0,9% 1,2 mg/ml 25°C A cubierto de la luz
4 Día
2174
Nivel de evidencia A+

Poliolefina Cloruro de sodio 0,9% 1,2 mg/ml 5°C A cubierto de la luz
12 Día
2174
Nivel de evidencia A+

Poliolefina Glucosa 5% 0,1 & 1 mg/ml 22°C No precisada
3 Día
157
Nivel de evidencia A+

Poliolefina Glucosa 5% 0,1 & 1 mg/ml 32°C No precisada
3 Día
157
Nivel de evidencia A+

Poliolefina Glucosa 5% 0,1 & 1 mg/ml 4°C A cubierto de la luz
3 Día
157
Nivel de evidencia A+

Poliolefina Glucosa 5% 0,3 mg/ml 25°C A cubierto de la luz
8 Día
2174
Nivel de evidencia A+

Poliolefina Glucosa 5% 0,3 mg/ml 5°C A cubierto de la luz
28 Día
2174
Nivel de evidencia A+

Poliolefina Glucosa 5% 0,3 & 1,2 mg/ml 20°C-23°C Luz
48 Hora
669
Nivel de evidencia A

Poliolefina Glucosa 5% 0,3 & 1,2 mg/ml 25°C A cubierto de la luz
72 Hora
1522
Datos de estabilidad del fabricante

Poliolefina Glucosa 5% 0,3 &1,2 mg/ml 4°C A cubierto de la luz
72 Hora
2014
Nivel de evidencia C

Poliolefina Glucosa 5% 0,3 >>1,2 mg/ml 30°C A cubierto de la luz
4 Día
173
Nivel de evidencia A

Poliolefina Glucosa 5% 0,6 mg/ml 20°C-23°C No precisada
25 Hora
412
Nivel de evidencia A

Poliolefina Glucosa 5% 0,75 mg/ml 25°C A cubierto de la luz
4 Día
2174
Nivel de evidencia A+

Poliolefina Glucosa 5% 0,75 mg/ml 5°C A cubierto de la luz
16 Día
2174
Nivel de evidencia A+

Poliolefina Glucosa 5% 0.3 > 1.2 mg/ml 25°C Luz
72 Hora
1956
Datos de estabilidad del fabricante

Poliolefina Glucosa 5% 0.3 > 1.2 mg/ml 5°C A cubierto de la luz
14 Día
1956
Datos de estabilidad del fabricante

Poliolefina Glucosa 5% 1,2 mg/ml 20°C-23°C No precisada
12 Hora
412
Nivel de evidencia A

Poliolefina Glucosa 5% 1,2 mg/ml 25°C A cubierto de la luz
4 Día
2174
Nivel de evidencia A+

Poliolefina Glucosa 5% 1,2 mg/ml 5°C A cubierto de la luz
12 Día
2174
Nivel de evidencia A+


  Mentions Légales