Utolsó frissítés :
21/01/2026
rákellenes gyógyszer   Paclitaxel  
Injekció
Az oldatok stabilitása A keverékek stabilitása Stabilitást befolyásoló tényezők Kompatibilitás Az alkalmazás módja Irodalom pdf
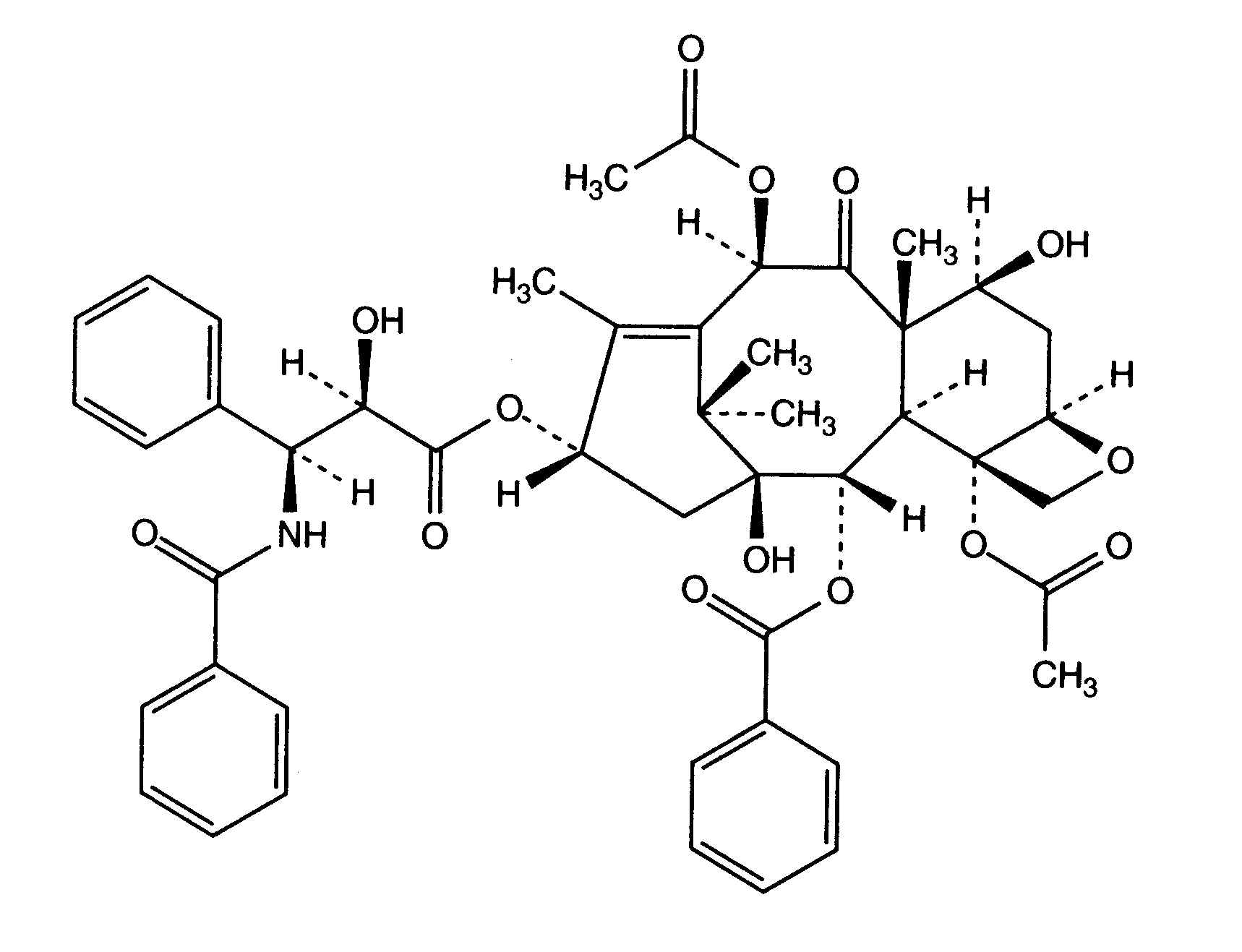
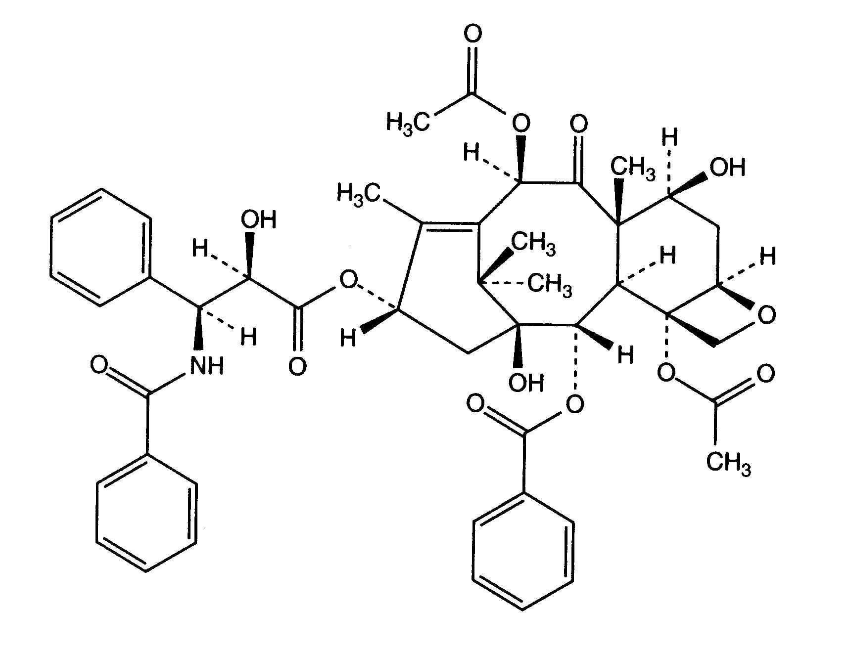
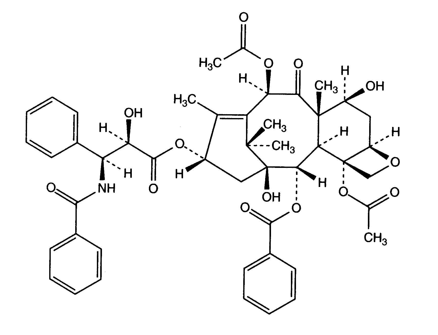
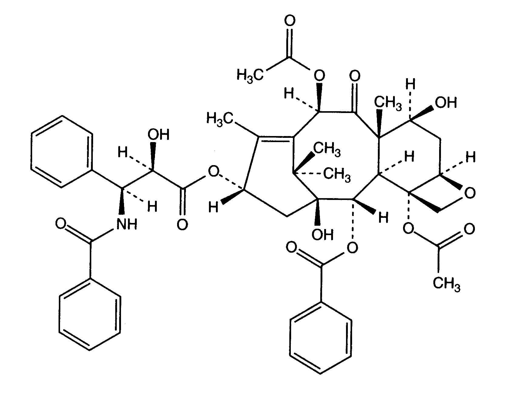
   Kémiai szerkezet   

Kereskedelmi név   Kereskedelmi név     

A kereskedelmi név meghatározó jelentőségű: a készítmények összetétele országonként, előállítóként eltérő lehet

Aclipak Malaysia
Acoexcel Mexikó
Acupaxil Marokkó
Anzatax Egyesült Arab Emírségek, Egyiptom, Irán, Malaysia, Marokkó, Peru, Szaúd-Arábiában, Törökország, Tunézia, új-Zéland
Aritaxel Németország
Cantaxel India
Clitaxel Argentína, Venezuela
Dalys Argentína
Ebetaxel Ausztria, Irán, Marokkó, Szaúd-Arábiában, Törökország, Tunézia
Genexol Egyiptom, India, Irán
Onxol Amerikai Egyesült Államok
Paclinova Argentína
Paclitaxin Brazília, Luxemburg, Malaysia, Szlovénia
Parexel Brazília, Colombia, Ecuador, Venezuela
Paxene Dánia, Görögország, Hollandia, Írország, Lengyelország, Spanyolország
Poltaxel Lengyelország
Ribotax Németország
Taxol Ausztria, Brazília, Colombia, Dánia, Egyesült Arab Emírségek, Egyiptom, Görögország, Hollandia, Irán, Japán, Lengyelország, Malaysia, Marokkó, Olaszország, Peru, Portugália, Svájc, Svédország, Szlovénia, Törökország, új-Zéland, Venezuela
Taxomedac Németország
Vitax Brazília, Peru, Törökország
Az oldatok stabilitása   Injekció   Az oldatok stabilitása : Paclitaxel     
Csomagolás Oldószer Koncentráció Hőmérséklet Tárolás A stabilitás időtartama Irodalom
Üveg 0,9% nátrium-klorid 0.3 mg/ml 2-8°C Fénytől védve tartandó
13 Nap
2172
Szintű bizonyítékot A+

Üveg 0,9% nátrium-klorid 0.3 mg/ml 25°C Fénytől védve tartandó
3 Nap
2172
Szintű bizonyítékot A+

Üveg 0,9% nátrium-klorid 1,2 mg/ml 30°C Fénytől védve tartandó
4 Nap
173
Szintű bizonyítékot A

Üveg 0,9% nátrium-klorid 1.2 mg/ml 2-8°C Fénytől védve tartandó
8 Nap
2172
Szintű bizonyítékot A+

Üveg 0,9% nátrium-klorid 1.2 mg/ml 25°C Fénytől védve tartandó
5 Nap
2172
Szintű bizonyítékot A+

Üveg 5% glükóz 0,4 & 1,2 mg/ml 20°C-25°C Fény
5 Nap
1865
Szintű bizonyítékot B

Üveg 5% glükóz 0.3 mg/ml 2-8°C Fénytől védve tartandó
20 Nap
2172
Szintű bizonyítékot A+

Üveg 5% glükóz 0.3 & 1.2 mg/ml 25°C Fénytől védve tartandó
7 Nap
2172
Szintű bizonyítékot A+

Üveg 5% glükóz 1,2 mg/ml 30°C Fénytől védve tartandó
4 Nap
173
Szintű bizonyítékot A

Üveg 5% glükóz 1.2 mg/ml 2-8°C Fénytől védve tartandó
8 Nap
2172
Szintű bizonyítékot A+

Polietilén 0,9% nátrium-klorid 0.3 mg/ml 2-8°C Fénytől védve tartandó
13 Nap
2172
Szintű bizonyítékot A+

Polietilén 0,9% nátrium-klorid 0.3 & 1.2 mg/ml 25°C Fénytől védve tartandó
3 Nap
2172
Szintű bizonyítékot A+

Polietilén 0,9% nátrium-klorid 1.2 mg/ml 2-8°C Fénytől védve tartandó
9 Nap
2172
Szintű bizonyítékot A+

Polietilén 5% glükóz 0,4 & 1,2 mg/ml 20°C-25°C Fénnyel vagy anélkül
5 Nap
1865
Szintű bizonyítékot B

Polietilén 5% glükóz 0,4 & 1,2 mg/ml 25°C Fénnyel vagy anélkül
5 Nap
1520
Gyártó stabilitási adatokra

Polietilén 5% glükóz 0,4 & 1,2 mg/ml 4°C Nincs meghatározva
5 Nap
1520
Gyártó stabilitási adatokra

Polietilén 5% glükóz 0,4 & 1,2 mg/ml 4°C Fénytől védve tartandó
5 Nap
1865
Szintű bizonyítékot B

Polietilén 5% glükóz 0.3 mg/ml 2-8°C Fénytől védve tartandó
13 Nap
2172
Szintű bizonyítékot A+

Polietilén 5% glükóz 0.3 & 1.2 mg/ml 25°C Fénytől védve tartandó
3 Nap
2172
Szintű bizonyítékot A+

Polietilén 5% glükóz 1.2 mg/ml 2-8°C Fénytől védve tartandó
10 Nap
2172
Szintű bizonyítékot A+

Poliolefin 0,9% nátrium-klorid 0,1 & 1 mg/ml 22°C Nincs meghatározva
3 Nap
157
Szintű bizonyítékot A+

Poliolefin 0,9% nátrium-klorid 0,1 & 1 mg/ml 32°C Nincs meghatározva
3 Nap
157
Szintű bizonyítékot A+

Poliolefin 0,9% nátrium-klorid 0,1 & 1 mg/ml 4°C Fénytől védve tartandó
3 Nap
157
Szintű bizonyítékot A+

Poliolefin 0,9% nátrium-klorid 0,3 mg/ml 5°C Fénytől védve tartandó
28 Nap
2174
Szintű bizonyítékot A+

Poliolefin 0,9% nátrium-klorid 0,3 & 0,75 mg/ml 25°C Fénytől védve tartandó
6 Nap
2174
Szintű bizonyítékot A+

Poliolefin 0,9% nátrium-klorid 0,3 & 1,2 mg/ml 20°C-23°C Fény
48 Óra
669
Szintű bizonyítékot A

Poliolefin 0,9% nátrium-klorid 0,3 & 1,2 mg/ml 25°C Fénytől védve tartandó
72 Óra
1522
Gyártó stabilitási adatokra

Poliolefin 0,9% nátrium-klorid 0,3 &1,2 mg/ml 4°C Fénytől védve tartandó
72 Óra
2014
Szintű bizonyítékot C

Poliolefin 0,9% nátrium-klorid 0,3 >>1,2 mg/ml 30°C Fénytől védve tartandó
4 Nap
173
Szintű bizonyítékot A

Poliolefin 0,9% nátrium-klorid 0,6 mg/ml 20°C-23°C Nincs meghatározva
25 Óra
412
Szintű bizonyítékot A

Poliolefin 0,9% nátrium-klorid 0,75 mg/ml 5°C Fénytől védve tartandó
16 Nap
2174
Szintű bizonyítékot A+

Poliolefin 0,9% nátrium-klorid 0.3 > 1.2 mg/ml 25°C Fény
72 Óra
1956
Gyártó stabilitási adatokra

Poliolefin 0,9% nátrium-klorid 0.3 > 1.2 mg/ml 5°C Fénytől védve tartandó
28 Nap
1956
Gyártó stabilitási adatokra

Poliolefin 0,9% nátrium-klorid 1,2 mg/ml 20°C-23°C Nincs meghatározva
25 Óra
412
Szintű bizonyítékot A

Poliolefin 0,9% nátrium-klorid 1,2 mg/ml 25°C Fénytől védve tartandó
4 Nap
2174
Szintű bizonyítékot A+

Poliolefin 0,9% nátrium-klorid 1,2 mg/ml 5°C Fénytől védve tartandó
12 Nap
2174
Szintű bizonyítékot A+

Poliolefin 5% glükóz 0,1 & 1 mg/ml 22°C Nincs meghatározva
3 Nap
157
Szintű bizonyítékot A+

Poliolefin 5% glükóz 0,1 & 1 mg/ml 32°C Nincs meghatározva
3 Nap
157
Szintű bizonyítékot A+

Poliolefin 5% glükóz 0,1 & 1 mg/ml 4°C Fénytől védve tartandó
3 Nap
157
Szintű bizonyítékot A+

Poliolefin 5% glükóz 0,3 mg/ml 25°C Fénytől védve tartandó
8 Nap
2174
Szintű bizonyítékot A+

Poliolefin 5% glükóz 0,3 mg/ml 5°C Fénytől védve tartandó
28 Nap
2174
Szintű bizonyítékot A+

Poliolefin 5% glükóz 0,3 & 1,2 mg/ml 20°C-23°C Fény
48 Óra
669
Szintű bizonyítékot A

Poliolefin 5% glükóz 0,3 & 1,2 mg/ml 25°C Fénytől védve tartandó
72 Óra
1522
Gyártó stabilitási adatokra

Poliolefin 5% glükóz 0,3 &1,2 mg/ml 4°C Fénytől védve tartandó
72 Óra
2014
Szintű bizonyítékot C

Poliolefin 5% glükóz 0,3 >>1,2 mg/ml 30°C Fénytől védve tartandó
4 Nap
173
Szintű bizonyítékot A

Poliolefin 5% glükóz 0,6 mg/ml 20°C-23°C Nincs meghatározva
25 Óra
412
Szintű bizonyítékot A

Poliolefin 5% glükóz 0,75 mg/ml 25°C Fénytől védve tartandó
4 Nap
2174
Szintű bizonyítékot A+

Poliolefin 5% glükóz 0,75 mg/ml 5°C Fénytől védve tartandó
16 Nap
2174
Szintű bizonyítékot A+

Poliolefin 5% glükóz 0.3 > 1.2 mg/ml 25°C Fény
72 Óra
1956
Gyártó stabilitási adatokra

Poliolefin 5% glükóz 0.3 > 1.2 mg/ml 5°C Fénytől védve tartandó
14 Nap
1956
Gyártó stabilitási adatokra

Poliolefin 5% glükóz 1,2 mg/ml 20°C-23°C Nincs meghatározva
12 Óra
412
Szintű bizonyítékot A

Poliolefin 5% glükóz 1,2 mg/ml 25°C Fénytől védve tartandó
4 Nap
2174
Szintű bizonyítékot A+

Poliolefin 5% glükóz 1,2 mg/ml 5°C Fénytől védve tartandó
12 Nap
2174
Szintű bizonyítékot A+


  Mentions Légales