Pēdējā atjaunošana :
18/03/2026
vēzis narkotiku   Paclitaxel  
Injekcija
Šķīduma stabilitāte Maisījuma stabilitāte Stabilitāti ietekmējoši faktori Saderība Levadīšanas veids Literatūras saraksts pdf
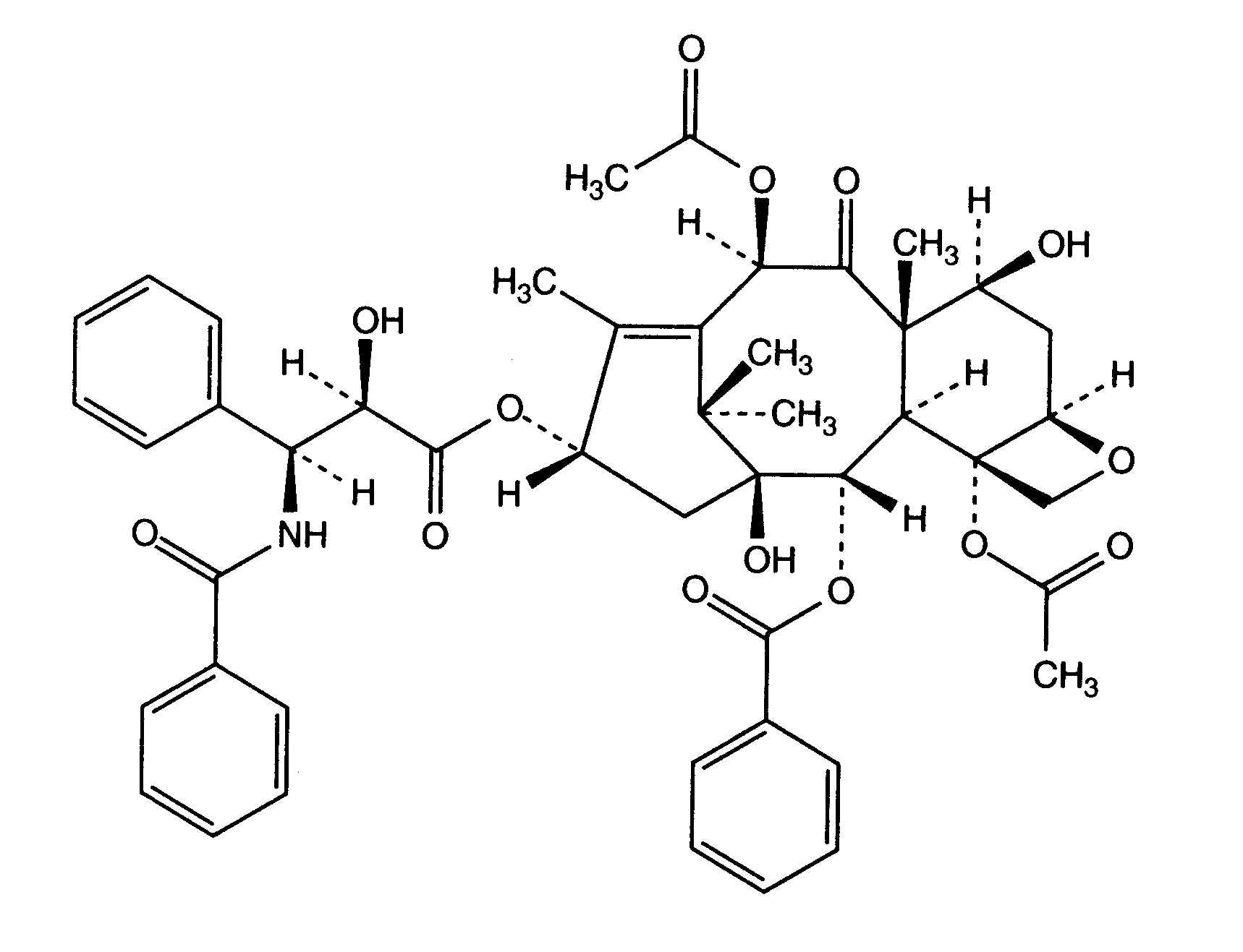
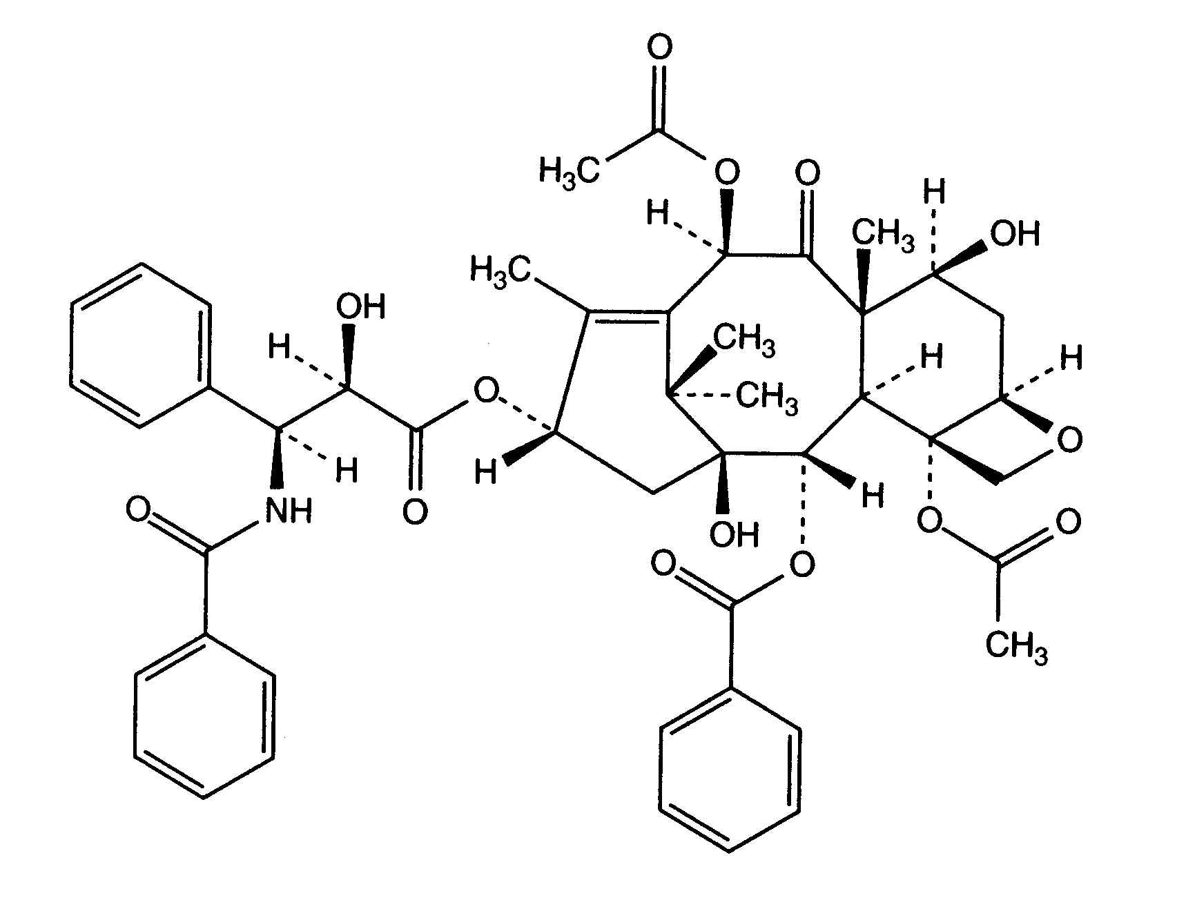
   Ķīmiskā uzbūve   

Oriģinālais nosaukums   Oriģinālais nosaukums     

Tirdzniecības nosaukumi ir apzīmējoši un palīgvielas var atšķirties dažādām valstīm un laboratorijām

Aclipak Malaizija
Acoexcel Meksika
Acupaxil Maroka
Anzatax Apvienotie Arābu Emirāti, Ēģipte, Irāna, Jaunzēlande, Malaizija, Maroka, Peru, Saūda Arābija, Tunisija, Turcija
Aritaxel Vācija
Cantaxel Indija
Clitaxel Argentīna, Venecuēla
Dalys Argentīna
Ebetaxel Austrija, Irāna, Maroka, Saūda Arābija, Tunisija, Turcija
Genexol Ēģipte, Indija, Irāna
Onxol Amerikas Savienotās Valstis
Paclinova Argentīna
Paclitaxin Brazīlija, Luksemburga, Malaizija, Slovēnija
Parexel Brazīlija, Ekvadora, Kolumbija, Venecuēla
Paxene Dānija, Grieķija, Holande, Īrija, Polija, Spānija
Poltaxel Polija
Ribotax Vācija
Taxol Apvienotie Arābu Emirāti, Austrija, Brazīlija, Dānija, Ēģipte, Grieķija, Holande, Irāna, Itālija, Japāna, Jaunzēlande, Kolumbija, Malaizija, Maroka, Peru, Polija, Portugāle, Slovēnija, Šveice, Turcija, Venecuēla, Zviedrija
Taxomedac Vācija
Vitax Brazīlija, Peru, Turcija
Šķīduma stabilitāte   Injekcija   Šķīduma stabilitāte : Paclitaxel     
Iepakojums Šķīdinātājs Koncentrācija Temperatūra Glabāšana Stabilitātes ilgums Literatūras saraksts
Stikls Nātrija hlorīds 0.9% 0.3 mg/ml 2-8°C Aizsargāt no gaismas
13 Diena
2172
Pierādījumu līmenis A+

Stikls Nātrija hlorīds 0.9% 0.3 mg/ml 25°C Aizsargāt no gaismas
3 Diena
2172
Pierādījumu līmenis A+

Stikls Nātrija hlorīds 0.9% 1,2 mg/ml 30°C Aizsargāt no gaismas
4 Diena
173
Pierādījumu līmenis A

Stikls Nātrija hlorīds 0.9% 1.2 mg/ml 2-8°C Aizsargāt no gaismas
8 Diena
2172
Pierādījumu līmenis A+

Stikls Nātrija hlorīds 0.9% 1.2 mg/ml 25°C Aizsargāt no gaismas
5 Diena
2172
Pierādījumu līmenis A+

Stikls 5% glikoze 0,4 & 1,2 mg/ml 20°C-25°C Gaisma
5 Diena
1865
Pierādījumu līmenis B

Stikls 5% glikoze 0.3 mg/ml 2-8°C Aizsargāt no gaismas
20 Diena
2172
Pierādījumu līmenis A+

Stikls 5% glikoze 0.3 & 1.2 mg/ml 25°C Aizsargāt no gaismas
7 Diena
2172
Pierādījumu līmenis A+

Stikls 5% glikoze 1,2 mg/ml 30°C Aizsargāt no gaismas
4 Diena
173
Pierādījumu līmenis A

Stikls 5% glikoze 1.2 mg/ml 2-8°C Aizsargāt no gaismas
8 Diena
2172
Pierādījumu līmenis A+

Polietilēns Nātrija hlorīds 0.9% 0.3 mg/ml 2-8°C Aizsargāt no gaismas
13 Diena
2172
Pierādījumu līmenis A+

Polietilēns Nātrija hlorīds 0.9% 0.3 & 1.2 mg/ml 25°C Aizsargāt no gaismas
3 Diena
2172
Pierādījumu līmenis A+

Polietilēns Nātrija hlorīds 0.9% 1.2 mg/ml 2-8°C Aizsargāt no gaismas
9 Diena
2172
Pierādījumu līmenis A+

Polietilēns 5% glikoze 0,4 & 1,2 mg/ml 20°C-25°C Ar vai bez gaismas
5 Diena
1865
Pierādījumu līmenis B

Polietilēns 5% glikoze 0,4 & 1,2 mg/ml 25°C Ar vai bez gaismas
5 Diena
1520
Ražotāja stabilitātes dati

Polietilēns 5% glikoze 0,4 & 1,2 mg/ml 4°C Nav specifisks
5 Diena
1520
Ražotāja stabilitātes dati

Polietilēns 5% glikoze 0,4 & 1,2 mg/ml 4°C Aizsargāt no gaismas
5 Diena
1865
Pierādījumu līmenis B

Polietilēns 5% glikoze 0.3 mg/ml 2-8°C Aizsargāt no gaismas
13 Diena
2172
Pierādījumu līmenis A+

Polietilēns 5% glikoze 0.3 & 1.2 mg/ml 25°C Aizsargāt no gaismas
3 Diena
2172
Pierādījumu līmenis A+

Polietilēns 5% glikoze 1.2 mg/ml 2-8°C Aizsargāt no gaismas
10 Diena
2172
Pierādījumu līmenis A+

Poliolefīns Nātrija hlorīds 0.9% 0,1 & 1 mg/ml 22°C Nav specifisks
3 Diena
157
Pierādījumu līmenis A+

Poliolefīns Nātrija hlorīds 0.9% 0,1 & 1 mg/ml 32°C Nav specifisks
3 Diena
157
Pierādījumu līmenis A+

Poliolefīns Nātrija hlorīds 0.9% 0,1 & 1 mg/ml 4°C Aizsargāt no gaismas
3 Diena
157
Pierādījumu līmenis A+

Poliolefīns Nātrija hlorīds 0.9% 0,3 mg/ml 5°C Aizsargāt no gaismas
28 Diena
2174
Pierādījumu līmenis A+

Poliolefīns Nātrija hlorīds 0.9% 0,3 & 0,75 mg/ml 25°C Aizsargāt no gaismas
6 Diena
2174
Pierādījumu līmenis A+

Poliolefīns Nātrija hlorīds 0.9% 0,3 & 1,2 mg/ml 20°C-23°C Gaisma
48 Stunda
669
Pierādījumu līmenis A

Poliolefīns Nātrija hlorīds 0.9% 0,3 & 1,2 mg/ml 25°C Aizsargāt no gaismas
72 Stunda
1522
Ražotāja stabilitātes dati

Poliolefīns Nātrija hlorīds 0.9% 0,3 &1,2 mg/ml 4°C Aizsargāt no gaismas
72 Stunda
2014
Pierādījumu līmenis C

Poliolefīns Nātrija hlorīds 0.9% 0,3 >>1,2 mg/ml 30°C Aizsargāt no gaismas
4 Diena
173
Pierādījumu līmenis A

Poliolefīns Nātrija hlorīds 0.9% 0,6 mg/ml 20°C-23°C Nav specifisks
25 Stunda
412
Pierādījumu līmenis A

Poliolefīns Nātrija hlorīds 0.9% 0,75 mg/ml 5°C Aizsargāt no gaismas
16 Diena
2174
Pierādījumu līmenis A+

Poliolefīns Nātrija hlorīds 0.9% 0.3 > 1.2 mg/ml 25°C Gaisma
72 Stunda
1956
Ražotāja stabilitātes dati

Poliolefīns Nātrija hlorīds 0.9% 0.3 > 1.2 mg/ml 5°C Aizsargāt no gaismas
28 Diena
1956
Ražotāja stabilitātes dati

Poliolefīns Nātrija hlorīds 0.9% 1,2 mg/ml 20°C-23°C Nav specifisks
25 Stunda
412
Pierādījumu līmenis A

Poliolefīns Nātrija hlorīds 0.9% 1,2 mg/ml 25°C Aizsargāt no gaismas
4 Diena
2174
Pierādījumu līmenis A+

Poliolefīns Nātrija hlorīds 0.9% 1,2 mg/ml 5°C Aizsargāt no gaismas
12 Diena
2174
Pierādījumu līmenis A+

Poliolefīns 5% glikoze 0,1 & 1 mg/ml 22°C Nav specifisks
3 Diena
157
Pierādījumu līmenis A+

Poliolefīns 5% glikoze 0,1 & 1 mg/ml 32°C Nav specifisks
3 Diena
157
Pierādījumu līmenis A+

Poliolefīns 5% glikoze 0,1 & 1 mg/ml 4°C Aizsargāt no gaismas
3 Diena
157
Pierādījumu līmenis A+

Poliolefīns 5% glikoze 0,3 mg/ml 25°C Aizsargāt no gaismas
8 Diena
2174
Pierādījumu līmenis A+

Poliolefīns 5% glikoze 0,3 mg/ml 5°C Aizsargāt no gaismas
28 Diena
2174
Pierādījumu līmenis A+

Poliolefīns 5% glikoze 0,3 & 1,2 mg/ml 20°C-23°C Gaisma
48 Stunda
669
Pierādījumu līmenis A

Poliolefīns 5% glikoze 0,3 & 1,2 mg/ml 25°C Aizsargāt no gaismas
72 Stunda
1522
Ražotāja stabilitātes dati

Poliolefīns 5% glikoze 0,3 &1,2 mg/ml 4°C Aizsargāt no gaismas
72 Stunda
2014
Pierādījumu līmenis C

Poliolefīns 5% glikoze 0,3 >>1,2 mg/ml 30°C Aizsargāt no gaismas
4 Diena
173
Pierādījumu līmenis A

Poliolefīns 5% glikoze 0,6 mg/ml 20°C-23°C Nav specifisks
25 Stunda
412
Pierādījumu līmenis A

Poliolefīns 5% glikoze 0,75 mg/ml 25°C Aizsargāt no gaismas
4 Diena
2174
Pierādījumu līmenis A+

Poliolefīns 5% glikoze 0,75 mg/ml 5°C Aizsargāt no gaismas
16 Diena
2174
Pierādījumu līmenis A+

Poliolefīns 5% glikoze 0.3 > 1.2 mg/ml 25°C Gaisma
72 Stunda
1956
Ražotāja stabilitātes dati

Poliolefīns 5% glikoze 0.3 > 1.2 mg/ml 5°C Aizsargāt no gaismas
14 Diena
1956
Ražotāja stabilitātes dati

Poliolefīns 5% glikoze 1,2 mg/ml 20°C-23°C Nav specifisks
12 Stunda
412
Pierādījumu līmenis A

Poliolefīns 5% glikoze 1,2 mg/ml 25°C Aizsargāt no gaismas
4 Diena
2174
Pierādījumu līmenis A+

Poliolefīns 5% glikoze 1,2 mg/ml 5°C Aizsargāt no gaismas
12 Diena
2174
Pierādījumu līmenis A+


  Mentions Légales