zadnja posodobitev :
18/03/2026
rak drog   Paclitaxel  
Brizgalka
Stabilnost raztopine Stabilnost mešanice Faktorji, ki vplivajo na stabilnost Kompatibilnost način aplikacije Viri pdf
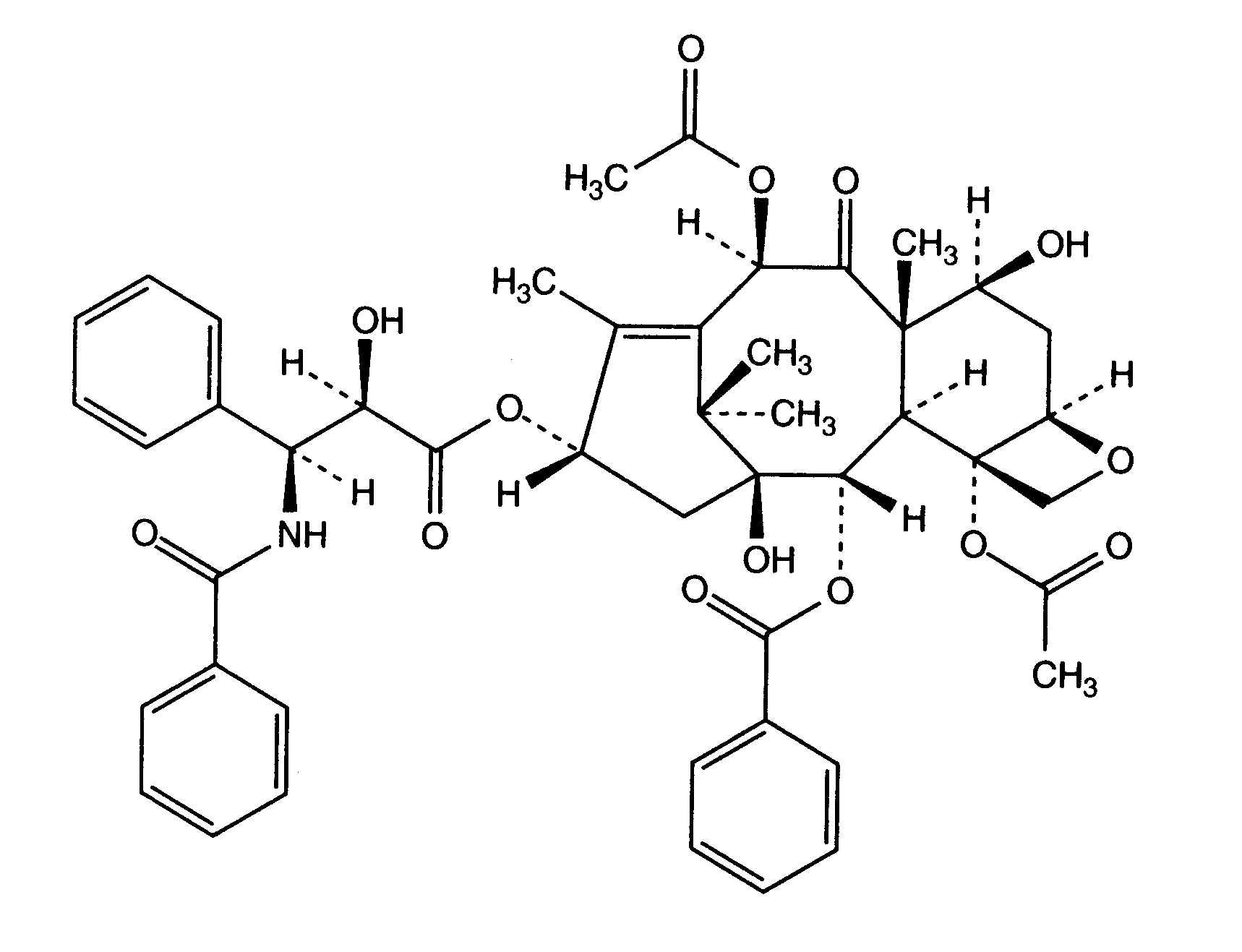
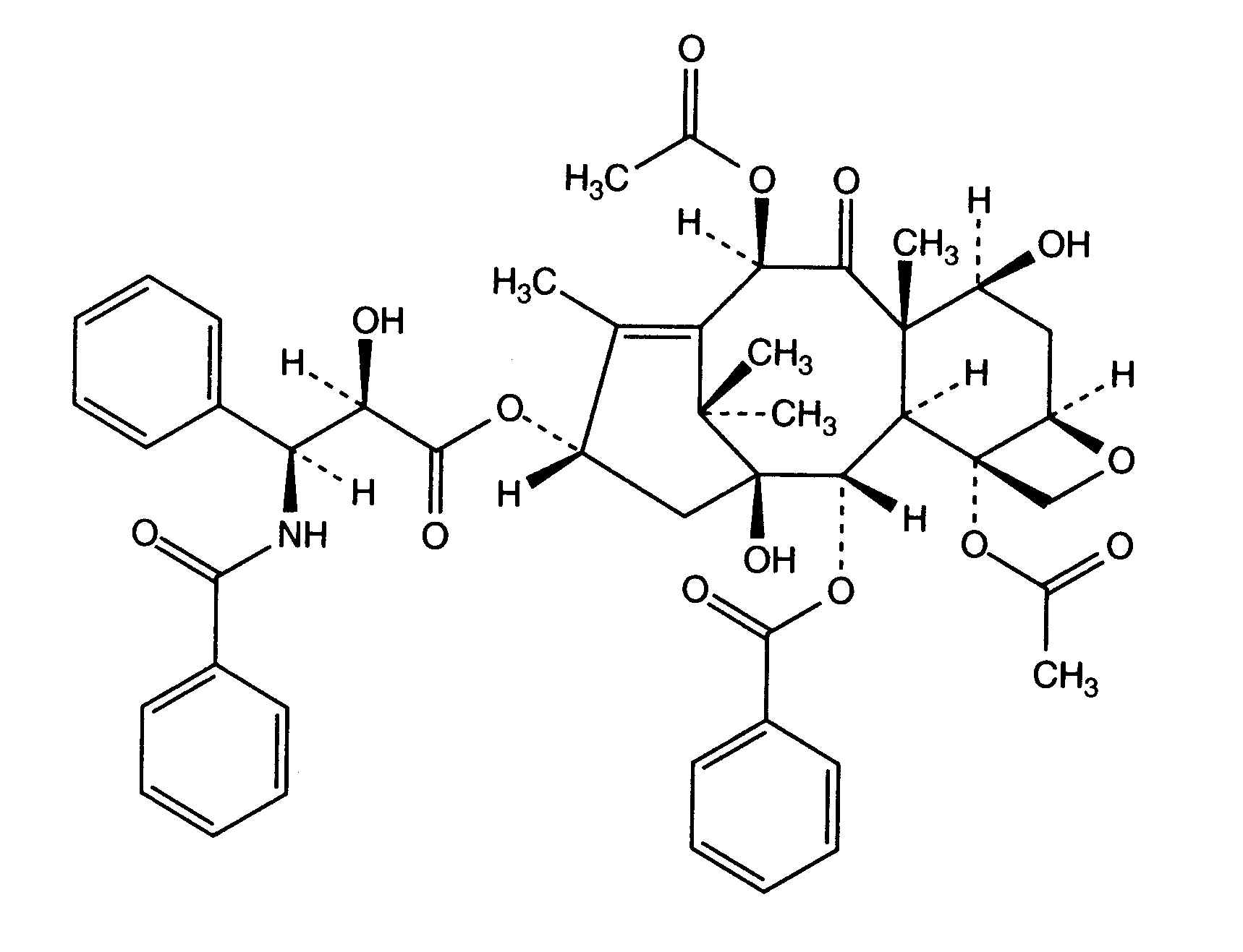
   Kemična formula  

Lastniško ime   Lastniško ime     

Sestava pomožnih snovi je med paralelami lahko različna

Aclipak Malezija
Acoexcel Mehika
Acupaxil Maroko
Anzatax Egipt, Iran, Malezija, Maroko, nova Zelandija, Peru, Savdska Arabija, Tunizija, Turčija, Združeni arabski emirati
Aritaxel Nemčija
Cantaxel Indija
Clitaxel Argentina, Venezuela
Dalys Argentina
Ebetaxel Avstrija, Iran, Maroko, Savdska Arabija, Tunizija, Turčija
Genexol Egipt, Indija, Iran
Onxol Združene države Amerike
Paclinova Argentina
Paclitaxin Brazilija, Luksemburg, Malezija, Slovenija
Parexel Brazilija, Ekvador, Kolumbija, Venezuela
Paxene Danska, Grčija, Irska, Nizozemska, Poljska, Španija
Poltaxel Poljska
Ribotax Nemčija
Taxol Avstrija, Brazilija, Danska, Egipt, Grčija, Iran, Italija, Japonska, Kolumbija, Malezija, Maroko, Nizozemska, nova Zelandija, Peru, Poljska, Portugalska, Slovenija, Švedska, Švica, Turčija, Venezuela, Združeni arabski emirati
Taxomedac Nemčija
Vitax Brazilija, Peru, Turčija
Stabilnost raztopine   Brizgalka   Stabilnost raztopine : Paclitaxel     
Vsebnik Topilo Koncentracija Temperatura Shranjevanje Trajanje stabilnosti Viri
Steklo Natrijev klorid 0,9% 0.3 mg/ml 2-8°C Zaščiteno pred svetlobo
13 Dan
2172
 Stopnja dokaza A+

Steklo Natrijev klorid 0,9% 0.3 mg/ml 25°C Zaščiteno pred svetlobo
3 Dan
2172
 Stopnja dokaza A+

Steklo Natrijev klorid 0,9% 1,2 mg/ml 30°C Zaščiteno pred svetlobo
4 Dan
173
 Stopnja dokaza A

Steklo Natrijev klorid 0,9% 1.2 mg/ml 2-8°C Zaščiteno pred svetlobo
8 Dan
2172
 Stopnja dokaza A+

Steklo Natrijev klorid 0,9% 1.2 mg/ml 25°C Zaščiteno pred svetlobo
5 Dan
2172
 Stopnja dokaza A+

Steklo Glukoza 5% 0,4 & 1,2 mg/ml 20°C-25°C Svetloba
5 Dan
1865
 Stopnja dokaza B

Steklo Glukoza 5% 0.3 mg/ml 2-8°C Zaščiteno pred svetlobo
20 Dan
2172
 Stopnja dokaza A+

Steklo Glukoza 5% 0.3 & 1.2 mg/ml 25°C Zaščiteno pred svetlobo
7 Dan
2172
 Stopnja dokaza A+

Steklo Glukoza 5% 1,2 mg/ml 30°C Zaščiteno pred svetlobo
4 Dan
173
 Stopnja dokaza A

Steklo Glukoza 5% 1.2 mg/ml 2-8°C Zaščiteno pred svetlobo
8 Dan
2172
 Stopnja dokaza A+

Polietilen Natrijev klorid 0,9% 0.3 mg/ml 2-8°C Zaščiteno pred svetlobo
13 Dan
2172
 Stopnja dokaza A+

Polietilen Natrijev klorid 0,9% 0.3 & 1.2 mg/ml 25°C Zaščiteno pred svetlobo
3 Dan
2172
 Stopnja dokaza A+

Polietilen Natrijev klorid 0,9% 1.2 mg/ml 2-8°C Zaščiteno pred svetlobo
9 Dan
2172
 Stopnja dokaza A+

Polietilen Glukoza 5% 0,4 & 1,2 mg/ml 20°C-25°C Z ali brez svetlobe
5 Dan
1865
 Stopnja dokaza B

Polietilen Glukoza 5% 0,4 & 1,2 mg/ml 25°C Z ali brez svetlobe
5 Dan
1520
Podatki stabilnosti proizvajalca

Polietilen Glukoza 5% 0,4 & 1,2 mg/ml 4°C Nedoločeno
5 Dan
1520
Podatki stabilnosti proizvajalca

Polietilen Glukoza 5% 0,4 & 1,2 mg/ml 4°C Zaščiteno pred svetlobo
5 Dan
1865
 Stopnja dokaza B

Polietilen Glukoza 5% 0.3 mg/ml 2-8°C Zaščiteno pred svetlobo
13 Dan
2172
 Stopnja dokaza A+

Polietilen Glukoza 5% 0.3 & 1.2 mg/ml 25°C Zaščiteno pred svetlobo
3 Dan
2172
 Stopnja dokaza A+

Polietilen Glukoza 5% 1.2 mg/ml 2-8°C Zaščiteno pred svetlobo
10 Dan
2172
 Stopnja dokaza A+

Poliolefin Natrijev klorid 0,9% 0,1 & 1 mg/ml 22°C Nedoločeno
3 Dan
157
 Stopnja dokaza A+

Poliolefin Natrijev klorid 0,9% 0,1 & 1 mg/ml 32°C Nedoločeno
3 Dan
157
 Stopnja dokaza A+

Poliolefin Natrijev klorid 0,9% 0,1 & 1 mg/ml 4°C Zaščiteno pred svetlobo
3 Dan
157
 Stopnja dokaza A+

Poliolefin Natrijev klorid 0,9% 0,3 mg/ml 5°C Zaščiteno pred svetlobo
28 Dan
2174
 Stopnja dokaza A+

Poliolefin Natrijev klorid 0,9% 0,3 & 0,75 mg/ml 25°C Zaščiteno pred svetlobo
6 Dan
2174
 Stopnja dokaza A+

Poliolefin Natrijev klorid 0,9% 0,3 & 1,2 mg/ml 20°C-23°C Svetloba
48 čas
669
 Stopnja dokaza A

Poliolefin Natrijev klorid 0,9% 0,3 & 1,2 mg/ml 25°C Zaščiteno pred svetlobo
72 čas
1522
Podatki stabilnosti proizvajalca

Poliolefin Natrijev klorid 0,9% 0,3 &1,2 mg/ml 4°C Zaščiteno pred svetlobo
72 čas
2014
 Stopnja dokaza C

Poliolefin Natrijev klorid 0,9% 0,3 >>1,2 mg/ml 30°C Zaščiteno pred svetlobo
4 Dan
173
 Stopnja dokaza A

Poliolefin Natrijev klorid 0,9% 0,6 mg/ml 20°C-23°C Nedoločeno
25 čas
412
 Stopnja dokaza A

Poliolefin Natrijev klorid 0,9% 0,75 mg/ml 5°C Zaščiteno pred svetlobo
16 Dan
2174
 Stopnja dokaza A+

Poliolefin Natrijev klorid 0,9% 0.3 > 1.2 mg/ml 25°C Svetloba
72 čas
1956
Podatki stabilnosti proizvajalca

Poliolefin Natrijev klorid 0,9% 0.3 > 1.2 mg/ml 5°C Zaščiteno pred svetlobo
28 Dan
1956
Podatki stabilnosti proizvajalca

Poliolefin Natrijev klorid 0,9% 1,2 mg/ml 20°C-23°C Nedoločeno
25 čas
412
 Stopnja dokaza A

Poliolefin Natrijev klorid 0,9% 1,2 mg/ml 25°C Zaščiteno pred svetlobo
4 Dan
2174
 Stopnja dokaza A+

Poliolefin Natrijev klorid 0,9% 1,2 mg/ml 5°C Zaščiteno pred svetlobo
12 Dan
2174
 Stopnja dokaza A+

Poliolefin Glukoza 5% 0,1 & 1 mg/ml 22°C Nedoločeno
3 Dan
157
 Stopnja dokaza A+

Poliolefin Glukoza 5% 0,1 & 1 mg/ml 32°C Nedoločeno
3 Dan
157
 Stopnja dokaza A+

Poliolefin Glukoza 5% 0,1 & 1 mg/ml 4°C Zaščiteno pred svetlobo
3 Dan
157
 Stopnja dokaza A+

Poliolefin Glukoza 5% 0,3 mg/ml 25°C Zaščiteno pred svetlobo
8 Dan
2174
 Stopnja dokaza A+

Poliolefin Glukoza 5% 0,3 mg/ml 5°C Zaščiteno pred svetlobo
28 Dan
2174
 Stopnja dokaza A+

Poliolefin Glukoza 5% 0,3 & 1,2 mg/ml 20°C-23°C Svetloba
48 čas
669
 Stopnja dokaza A

Poliolefin Glukoza 5% 0,3 & 1,2 mg/ml 25°C Zaščiteno pred svetlobo
72 čas
1522
Podatki stabilnosti proizvajalca

Poliolefin Glukoza 5% 0,3 &1,2 mg/ml 4°C Zaščiteno pred svetlobo
72 čas
2014
 Stopnja dokaza C

Poliolefin Glukoza 5% 0,3 >>1,2 mg/ml 30°C Zaščiteno pred svetlobo
4 Dan
173
 Stopnja dokaza A

Poliolefin Glukoza 5% 0,6 mg/ml 20°C-23°C Nedoločeno
25 čas
412
 Stopnja dokaza A

Poliolefin Glukoza 5% 0,75 mg/ml 25°C Zaščiteno pred svetlobo
4 Dan
2174
 Stopnja dokaza A+

Poliolefin Glukoza 5% 0,75 mg/ml 5°C Zaščiteno pred svetlobo
16 Dan
2174
 Stopnja dokaza A+

Poliolefin Glukoza 5% 0.3 > 1.2 mg/ml 25°C Svetloba
72 čas
1956
Podatki stabilnosti proizvajalca

Poliolefin Glukoza 5% 0.3 > 1.2 mg/ml 5°C Zaščiteno pred svetlobo
14 Dan
1956
Podatki stabilnosti proizvajalca

Poliolefin Glukoza 5% 1,2 mg/ml 20°C-23°C Nedoločeno
12 čas
412
 Stopnja dokaza A

Poliolefin Glukoza 5% 1,2 mg/ml 25°C Zaščiteno pred svetlobo
4 Dan
2174
 Stopnja dokaza A+

Poliolefin Glukoza 5% 1,2 mg/ml 5°C Zaščiteno pred svetlobo
12 Dan
2174
 Stopnja dokaza A+


  Mentions Légales