Последнее обновление :
18/03/2026
Цитостатическое средство   Paclitaxel  
Инъекция
Стабильность растворов Стабильность смесей Факторы, которые влияют на стабильность Совместимость Способы введения Библиография pdf
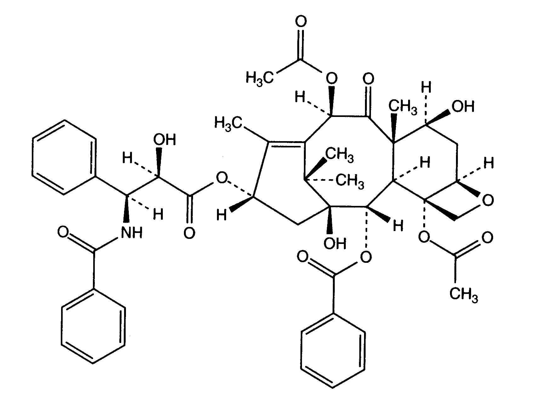
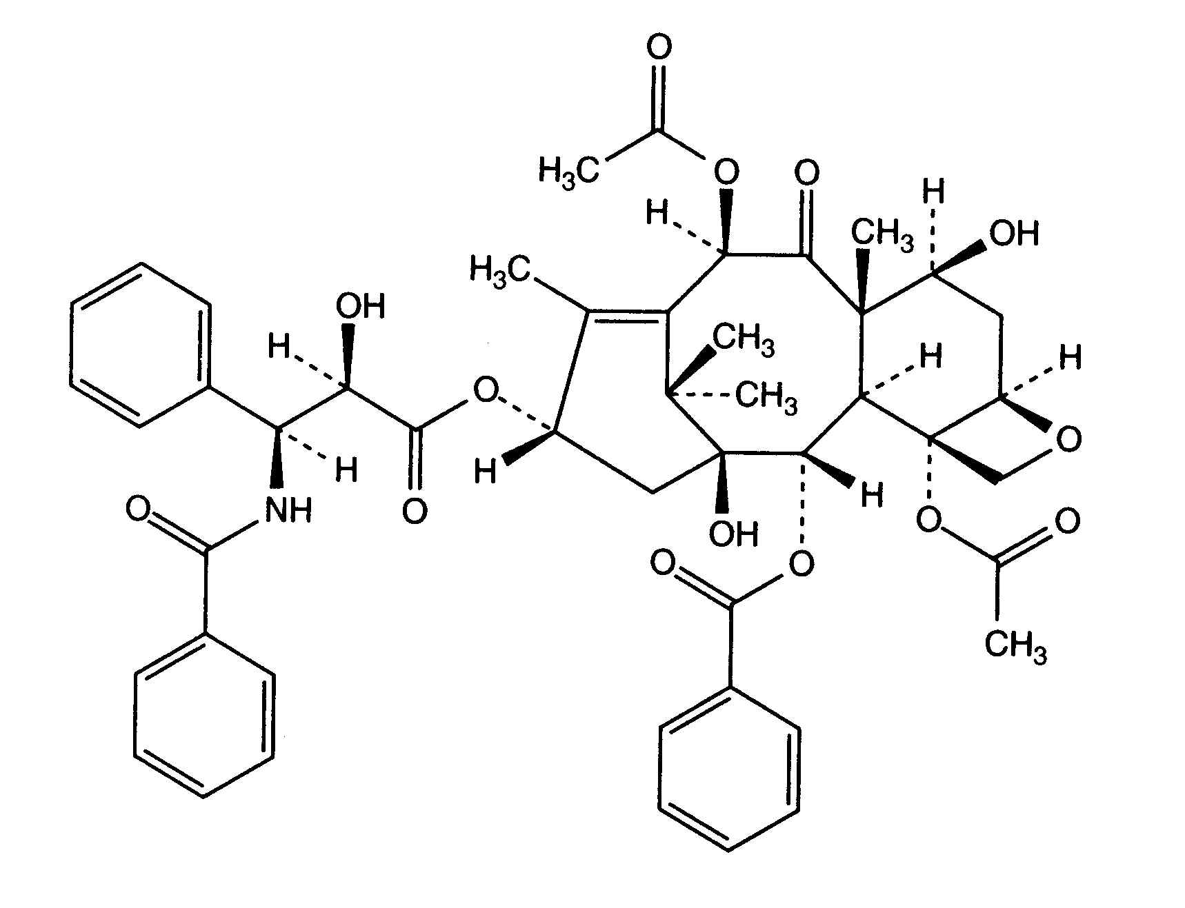
   Химическая структура  

Товарное название   Товарное название     

Trade names are indicative and excipients composition can be different depending on the country and manufacturers

Aclipak Малайзия
Acoexcel Мексика
Acupaxil Марокко
Anzatax Египет, Иран, Малайзия, Марокко, новая Зеландия, Объединенные Арабские Эмираты, Перу, Саудовская Аравия, Тунис, Турция
Aritaxel Германия
Cantaxel Индия
Clitaxel Аргентина, Венесуэла
Dalys Аргентина
Ebetaxel Австрия, Иран, Марокко, Саудовская Аравия, Тунис, Турция
Genexol Египет, Индия, Иран
Onxol Соединённые Штаты Америки
Paclinova Аргентина
Paclitaxin Бразилия, Люксембург, Малайзия, Словения
Parexel Бразилия, Венесуэла, Колумбия, Эквадор
Paxene Голландия, Греция, Дания, Ирландия, Испания, Польша
Poltaxel Польша
Ribotax Германия
Taxol Австрия, Бразилия, Венесуэла, Голландия, Греция, Дания, Египет, Иран, Италия, Колумбия, Малайзия, Марокко, новая Зеландия, Объединенные Арабские Эмираты, Перу, Польша, Португалия, Словения, Турция, Швейцария, Швеция, Япония
Taxomedac Германия
Vitax Бразилия, Перу, Турция
Стабильность растворов   Инъекция   Стабильность растворов : Paclitaxel     
Упаковка Растворитель Концентрация Температура Хранение Продолжительность стабильности Ссылки
Стекло Натрия хлорид 0,9% 0.3 mg/ml 2-8°C Защищён от света
13 День
2172
Уровень доказательности A +

Стекло Натрия хлорид 0,9% 0.3 mg/ml 25°C Защищён от света
3 День
2172
Уровень доказательности A +

Стекло Натрия хлорид 0,9% 1,2 mg/ml 30°C Защищён от света
4 День
173
Уровень доказательности A

Стекло Натрия хлорид 0,9% 1.2 mg/ml 2-8°C Защищён от света
8 День
2172
Уровень доказательности A +

Стекло Натрия хлорид 0,9% 1.2 mg/ml 25°C Защищён от света
5 День
2172
Уровень доказательности A +

Стекло Глюкоза 5% 0,4 & 1,2 mg/ml 20°C-25°C Свет
5 День
1865
Уровень доказательности B

Стекло Глюкоза 5% 0.3 mg/ml 2-8°C Защищён от света
20 День
2172
Уровень доказательности A +

Стекло Глюкоза 5% 0.3 & 1.2 mg/ml 25°C Защищён от света
7 День
2172
Уровень доказательности A +

Стекло Глюкоза 5% 1,2 mg/ml 30°C Защищён от света
4 День
173
Уровень доказательности A

Стекло Глюкоза 5% 1.2 mg/ml 2-8°C Защищён от света
8 День
2172
Уровень доказательности A +

Полиэтилен Натрия хлорид 0,9% 0.3 mg/ml 2-8°C Защищён от света
13 День
2172
Уровень доказательности A +

Полиэтилен Натрия хлорид 0,9% 0.3 & 1.2 mg/ml 25°C Защищён от света
3 День
2172
Уровень доказательности A +

Полиэтилен Натрия хлорид 0,9% 1.2 mg/ml 2-8°C Защищён от света
9 День
2172
Уровень доказательности A +

Полиэтилен Глюкоза 5% 0,4 & 1,2 mg/ml 20°C-25°C И на свету и в темноте
5 День
1865
Уровень доказательности B

Полиэтилен Глюкоза 5% 0,4 & 1,2 mg/ml 25°C И на свету и в темноте
5 День
1520
Данные по стабльности от изготовителя

Полиэтилен Глюкоза 5% 0,4 & 1,2 mg/ml 4°C Не указано
5 День
1520
Данные по стабльности от изготовителя

Полиэтилен Глюкоза 5% 0,4 & 1,2 mg/ml 4°C Защищён от света
5 День
1865
Уровень доказательности B

Полиэтилен Глюкоза 5% 0.3 mg/ml 2-8°C Защищён от света
13 День
2172
Уровень доказательности A +

Полиэтилен Глюкоза 5% 0.3 & 1.2 mg/ml 25°C Защищён от света
3 День
2172
Уровень доказательности A +

Полиэтилен Глюкоза 5% 1.2 mg/ml 2-8°C Защищён от света
10 День
2172
Уровень доказательности A +

Полиолефин Натрия хлорид 0,9% 0,1 & 1 mg/ml 22°C Не указано
3 День
157
Уровень доказательности A +

Полиолефин Натрия хлорид 0,9% 0,1 & 1 mg/ml 32°C Не указано
3 День
157
Уровень доказательности A +

Полиолефин Натрия хлорид 0,9% 0,1 & 1 mg/ml 4°C Защищён от света
3 День
157
Уровень доказательности A +

Полиолефин Натрия хлорид 0,9% 0,3 mg/ml 5°C Защищён от света
28 День
2174
Уровень доказательности A +

Полиолефин Натрия хлорид 0,9% 0,3 & 0,75 mg/ml 25°C Защищён от света
6 День
2174
Уровень доказательности A +

Полиолефин Натрия хлорид 0,9% 0,3 & 1,2 mg/ml 20°C-23°C Свет
48 Час
669
Уровень доказательности A

Полиолефин Натрия хлорид 0,9% 0,3 & 1,2 mg/ml 25°C Защищён от света
72 Час
1522
Данные по стабльности от изготовителя

Полиолефин Натрия хлорид 0,9% 0,3 &1,2 mg/ml 4°C Защищён от света
72 Час
2014
Уровень доказательности C

Полиолефин Натрия хлорид 0,9% 0,3 >>1,2 mg/ml 30°C Защищён от света
4 День
173
Уровень доказательности A

Полиолефин Натрия хлорид 0,9% 0,6 mg/ml 20°C-23°C Не указано
25 Час
412
Уровень доказательности A

Полиолефин Натрия хлорид 0,9% 0,75 mg/ml 5°C Защищён от света
16 День
2174
Уровень доказательности A +

Полиолефин Натрия хлорид 0,9% 0.3 > 1.2 mg/ml 25°C Свет
72 Час
1956
Данные по стабльности от изготовителя

Полиолефин Натрия хлорид 0,9% 0.3 > 1.2 mg/ml 5°C Защищён от света
28 День
1956
Данные по стабльности от изготовителя

Полиолефин Натрия хлорид 0,9% 1,2 mg/ml 20°C-23°C Не указано
25 Час
412
Уровень доказательности A

Полиолефин Натрия хлорид 0,9% 1,2 mg/ml 25°C Защищён от света
4 День
2174
Уровень доказательности A +

Полиолефин Натрия хлорид 0,9% 1,2 mg/ml 5°C Защищён от света
12 День
2174
Уровень доказательности A +

Полиолефин Глюкоза 5% 0,1 & 1 mg/ml 22°C Не указано
3 День
157
Уровень доказательности A +

Полиолефин Глюкоза 5% 0,1 & 1 mg/ml 32°C Не указано
3 День
157
Уровень доказательности A +

Полиолефин Глюкоза 5% 0,1 & 1 mg/ml 4°C Защищён от света
3 День
157
Уровень доказательности A +

Полиолефин Глюкоза 5% 0,3 mg/ml 25°C Защищён от света
8 День
2174
Уровень доказательности A +

Полиолефин Глюкоза 5% 0,3 mg/ml 5°C Защищён от света
28 День
2174
Уровень доказательности A +

Полиолефин Глюкоза 5% 0,3 & 1,2 mg/ml 20°C-23°C Свет
48 Час
669
Уровень доказательности A

Полиолефин Глюкоза 5% 0,3 & 1,2 mg/ml 25°C Защищён от света
72 Час
1522
Данные по стабльности от изготовителя

Полиолефин Глюкоза 5% 0,3 &1,2 mg/ml 4°C Защищён от света
72 Час
2014
Уровень доказательности C

Полиолефин Глюкоза 5% 0,3 >>1,2 mg/ml 30°C Защищён от света
4 День
173
Уровень доказательности A

Полиолефин Глюкоза 5% 0,6 mg/ml 20°C-23°C Не указано
25 Час
412
Уровень доказательности A

Полиолефин Глюкоза 5% 0,75 mg/ml 25°C Защищён от света
4 День
2174
Уровень доказательности A +

Полиолефин Глюкоза 5% 0,75 mg/ml 5°C Защищён от света
16 День
2174
Уровень доказательности A +

Полиолефин Глюкоза 5% 0.3 > 1.2 mg/ml 25°C Свет
72 Час
1956
Данные по стабльности от изготовителя

Полиолефин Глюкоза 5% 0.3 > 1.2 mg/ml 5°C Защищён от света
14 День
1956
Данные по стабльности от изготовителя

Полиолефин Глюкоза 5% 1,2 mg/ml 20°C-23°C Не указано
12 Час
412
Уровень доказательности A

Полиолефин Глюкоза 5% 1,2 mg/ml 25°C Защищён от света
4 День
2174
Уровень доказательности A +

Полиолефин Глюкоза 5% 1,2 mg/ml 5°C Защищён от света
12 День
2174
Уровень доказательности A +


  Mentions Légales