Ultimo aggiornamento :
18/03/2026
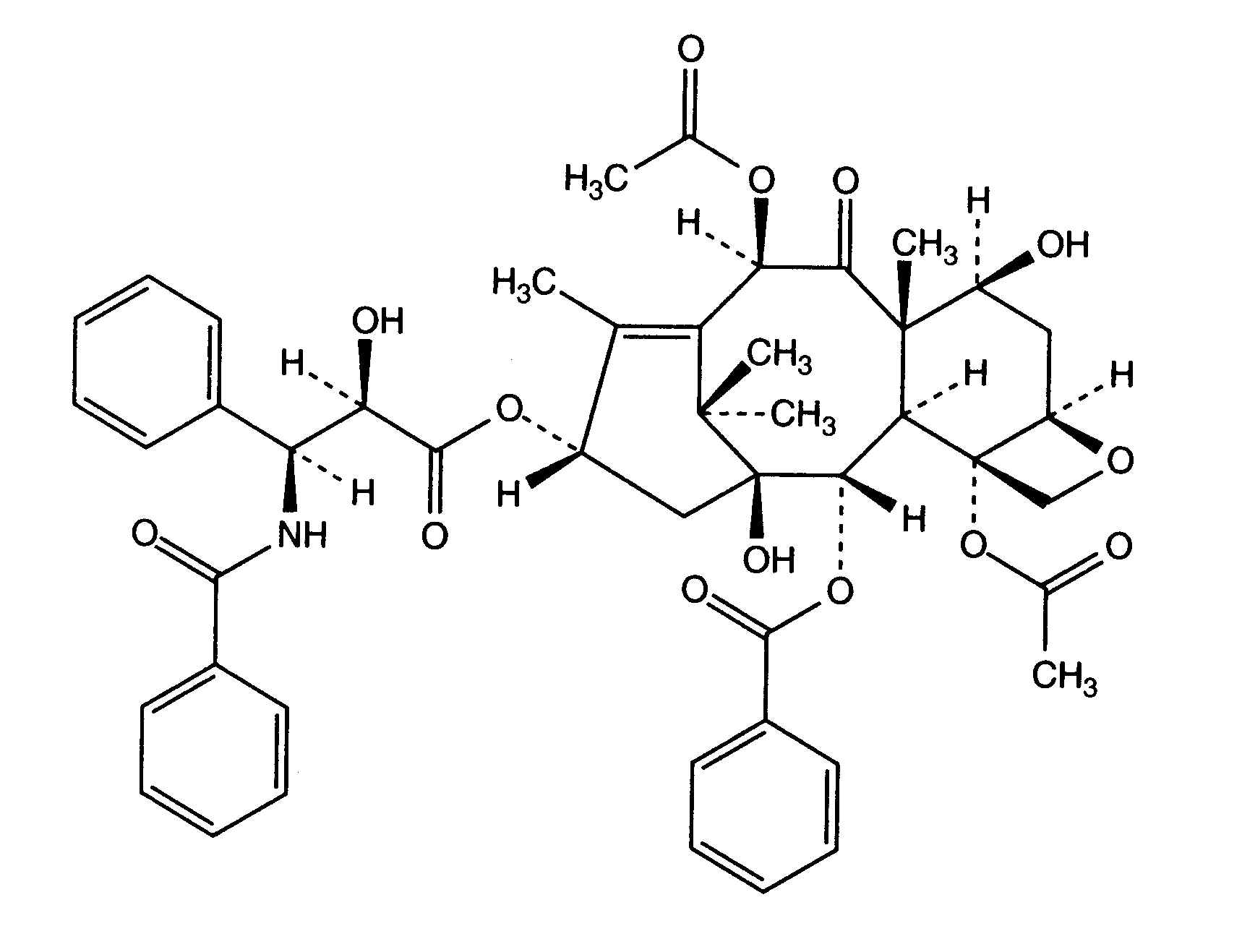
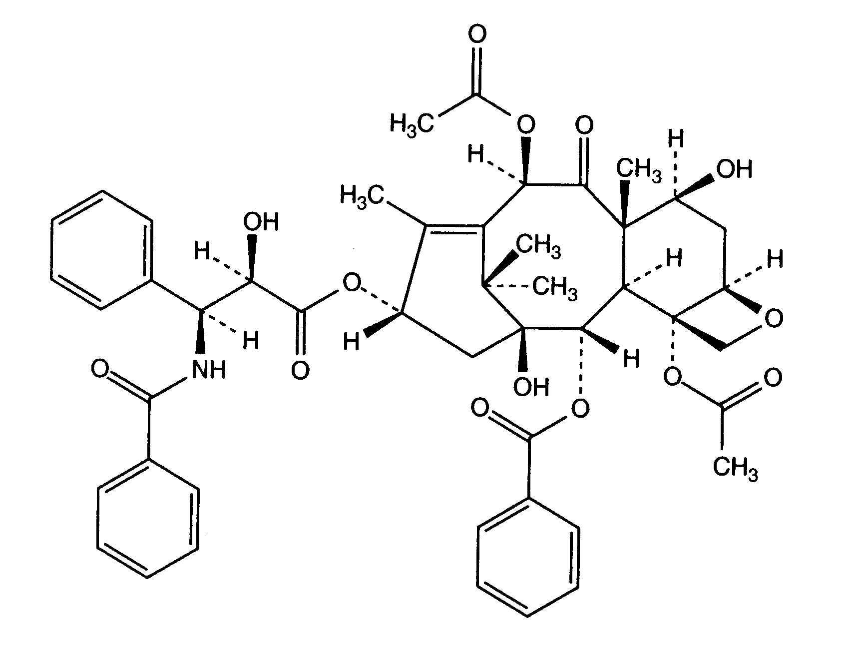
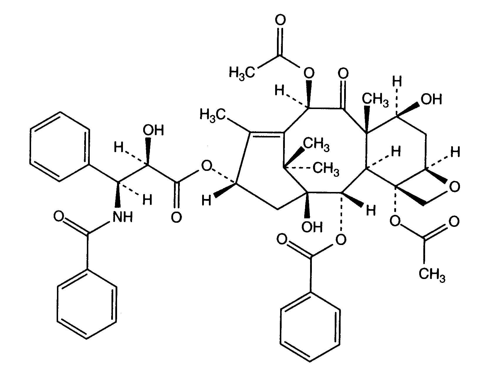
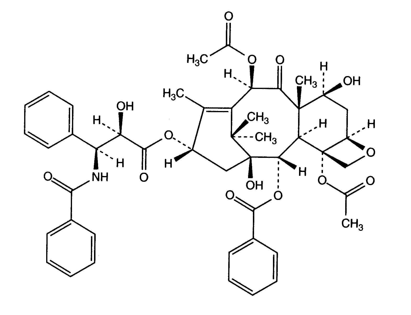
farmaco contro il cancro   Paclitaxel  
Iniezione
Stabilità in soluzione Stabilità in miscela Fattori che influenzano la stabilità Compatibilità metodo di iniezione Bibliografia pdf
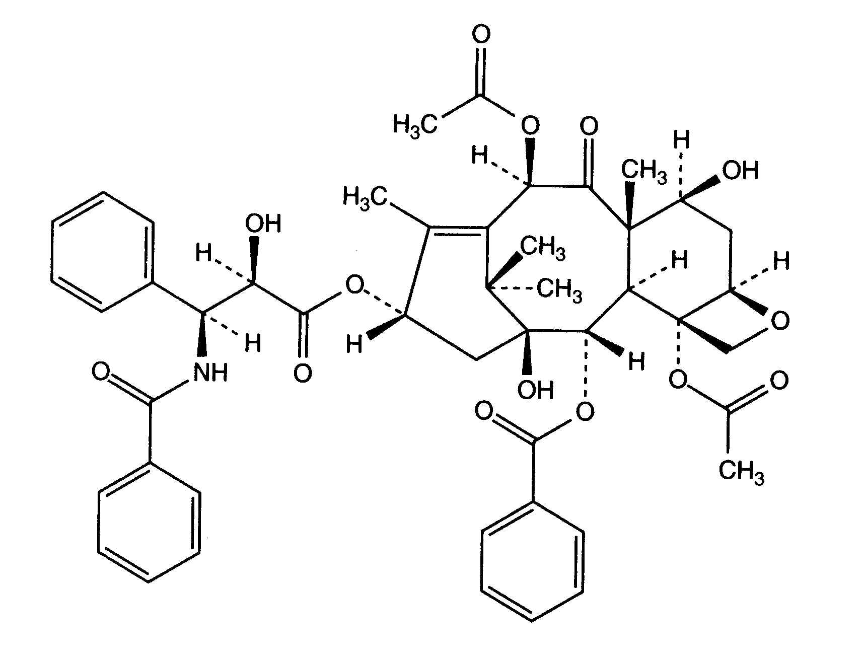
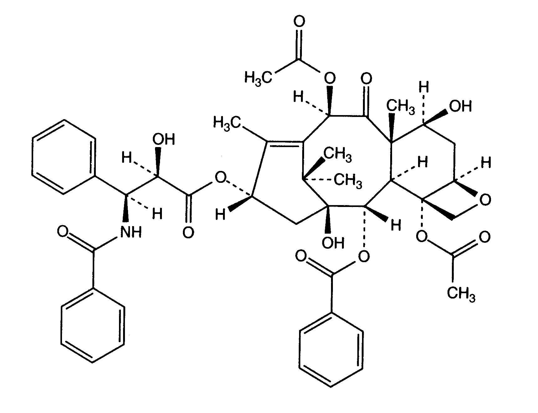
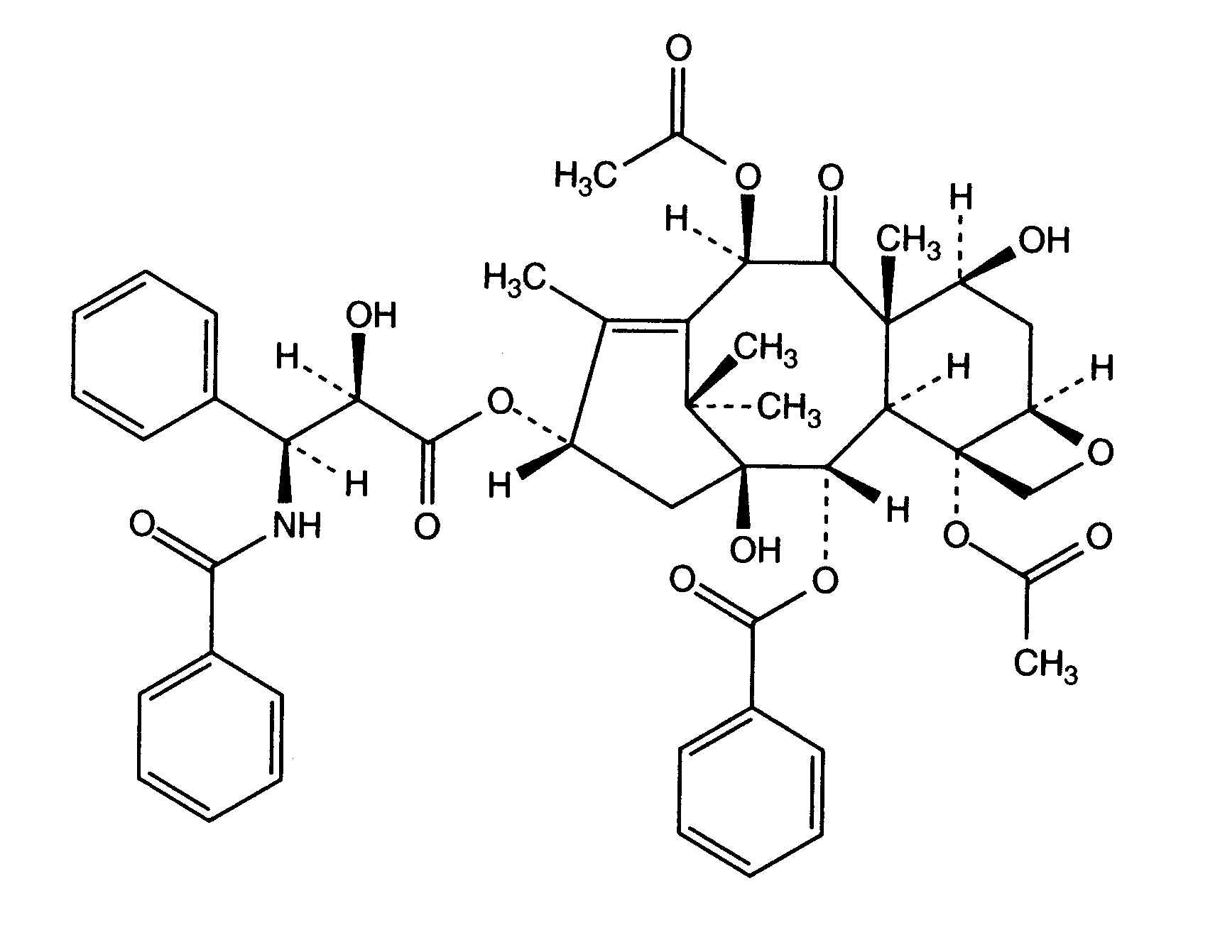
   Struttura chimica  

Nome commerciale   Nome commerciale     

Trade names are indicative and excipients composition can be different depending on the country and manufacturers

Aclipak Malaysia
Acoexcel Messico
Acupaxil Marocco
Anzatax Arabia Saudita, Egitto, Emirati Arabi Uniti, Iran, Malaysia, Marocco, nuova Zelanda, Perù, Tunisia, Turchia
Aritaxel Germania
Cantaxel India
Clitaxel Argentina, Venezuela
Dalys Argentina
Ebetaxel Arabia Saudita, Austria, Iran, Marocco, Tunisia, Turchia
Genexol Egitto, India, Iran
Onxol Stati Uniti d’America
Paclinova Argentina
Paclitaxin Brasile, Lussemburgo, Malaysia, Slovenia
Parexel Brasile, Colombia, Ecuador, Venezuela
Paxene Danimarca, Grecia, Irlanda, Paesi Bassi, Polonia, Spagna
Poltaxel Polonia
Ribotax Germania
Taxol Austria, Brasile, Colombia, Danimarca, Egitto, Emirati Arabi Uniti, Giappone, Grecia, Iran, Italia, Malaysia, Marocco, nuova Zelanda, Paesi Bassi, Perù, Polonia, Portogallo, Slovenia, Svezia, Svizzera, Turchia, Venezuela
Taxomedac Germania
Vitax Brasile, Perù, Turchia
Stabilità in soluzione   Iniezione   Stabilità in soluzione : Paclitaxel     
contenitore Solvente Concentrazione Temperatura Conservazione Durata della stabilità Bibliografia
Vetro Cloruro di sodio 0,9% 0.3 mg/ml 2-8°C Al riparo dalla luce
13 Giorno
2172
Livello di evidenza A+

Vetro Cloruro di sodio 0,9% 0.3 mg/ml 25°C Al riparo dalla luce
3 Giorno
2172
Livello di evidenza A+

Vetro Cloruro di sodio 0,9% 1,2 mg/ml 30°C Al riparo dalla luce
4 Giorno
173
Livello di evidenza A

Vetro Cloruro di sodio 0,9% 1.2 mg/ml 2-8°C Al riparo dalla luce
8 Giorno
2172
Livello di evidenza A+

Vetro Cloruro di sodio 0,9% 1.2 mg/ml 25°C Al riparo dalla luce
5 Giorno
2172
Livello di evidenza A+

Vetro Glucosio 5% 0,4 & 1,2 mg/ml 20°C-25°C Luce
5 Giorno
1865
Livello di evidenza B

Vetro Glucosio 5% 0.3 mg/ml 2-8°C Al riparo dalla luce
20 Giorno
2172
Livello di evidenza A+

Vetro Glucosio 5% 0.3 & 1.2 mg/ml 25°C Al riparo dalla luce
7 Giorno
2172
Livello di evidenza A+

Vetro Glucosio 5% 1,2 mg/ml 30°C Al riparo dalla luce
4 Giorno
173
Livello di evidenza A

Vetro Glucosio 5% 1.2 mg/ml 2-8°C Al riparo dalla luce
8 Giorno
2172
Livello di evidenza A+

Polietilene Cloruro di sodio 0,9% 0.3 mg/ml 2-8°C Al riparo dalla luce
13 Giorno
2172
Livello di evidenza A+

Polietilene Cloruro di sodio 0,9% 0.3 & 1.2 mg/ml 25°C Al riparo dalla luce
3 Giorno
2172
Livello di evidenza A+

Polietilene Cloruro di sodio 0,9% 1.2 mg/ml 2-8°C Al riparo dalla luce
9 Giorno
2172
Livello di evidenza A+

Polietilene Glucosio 5% 0,4 & 1,2 mg/ml 20°C-25°C Con o senza luce
5 Giorno
1865
Livello di evidenza B

Polietilene Glucosio 5% 0,4 & 1,2 mg/ml 25°C Con o senza luce
5 Giorno
1520
Dati di stabilità del produttore

Polietilene Glucosio 5% 0,4 & 1,2 mg/ml 4°C Non precisata
5 Giorno
1520
Dati di stabilità del produttore

Polietilene Glucosio 5% 0,4 & 1,2 mg/ml 4°C Al riparo dalla luce
5 Giorno
1865
Livello di evidenza B

Polietilene Glucosio 5% 0.3 mg/ml 2-8°C Al riparo dalla luce
13 Giorno
2172
Livello di evidenza A+

Polietilene Glucosio 5% 0.3 & 1.2 mg/ml 25°C Al riparo dalla luce
3 Giorno
2172
Livello di evidenza A+

Polietilene Glucosio 5% 1.2 mg/ml 2-8°C Al riparo dalla luce
10 Giorno
2172
Livello di evidenza A+

Poliolefina Cloruro di sodio 0,9% 0,1 & 1 mg/ml 22°C Non precisata
3 Giorno
157
Livello di evidenza A+

Poliolefina Cloruro di sodio 0,9% 0,1 & 1 mg/ml 32°C Non precisata
3 Giorno
157
Livello di evidenza A+

Poliolefina Cloruro di sodio 0,9% 0,1 & 1 mg/ml 4°C Al riparo dalla luce
3 Giorno
157
Livello di evidenza A+

Poliolefina Cloruro di sodio 0,9% 0,3 mg/ml 5°C Al riparo dalla luce
28 Giorno
2174
Livello di evidenza A+

Poliolefina Cloruro di sodio 0,9% 0,3 & 0,75 mg/ml 25°C Al riparo dalla luce
6 Giorno
2174
Livello di evidenza A+

Poliolefina Cloruro di sodio 0,9% 0,3 & 1,2 mg/ml 20°C-23°C Luce
48 Ora
669
Livello di evidenza A

Poliolefina Cloruro di sodio 0,9% 0,3 & 1,2 mg/ml 25°C Al riparo dalla luce
72 Ora
1522
Dati di stabilità del produttore

Poliolefina Cloruro di sodio 0,9% 0,3 &1,2 mg/ml 4°C Al riparo dalla luce
72 Ora
2014
Livello di evidenza C

Poliolefina Cloruro di sodio 0,9% 0,3 >>1,2 mg/ml 30°C Al riparo dalla luce
4 Giorno
173
Livello di evidenza A

Poliolefina Cloruro di sodio 0,9% 0,6 mg/ml 20°C-23°C Non precisata
25 Ora
412
Livello di evidenza A

Poliolefina Cloruro di sodio 0,9% 0,75 mg/ml 5°C Al riparo dalla luce
16 Giorno
2174
Livello di evidenza A+

Poliolefina Cloruro di sodio 0,9% 0.3 > 1.2 mg/ml 25°C Luce
72 Ora
1956
Dati di stabilità del produttore

Poliolefina Cloruro di sodio 0,9% 0.3 > 1.2 mg/ml 5°C Al riparo dalla luce
28 Giorno
1956
Dati di stabilità del produttore

Poliolefina Cloruro di sodio 0,9% 1,2 mg/ml 20°C-23°C Non precisata
25 Ora
412
Livello di evidenza A

Poliolefina Cloruro di sodio 0,9% 1,2 mg/ml 25°C Al riparo dalla luce
4 Giorno
2174
Livello di evidenza A+

Poliolefina Cloruro di sodio 0,9% 1,2 mg/ml 5°C Al riparo dalla luce
12 Giorno
2174
Livello di evidenza A+

Poliolefina Glucosio 5% 0,1 & 1 mg/ml 22°C Non precisata
3 Giorno
157
Livello di evidenza A+

Poliolefina Glucosio 5% 0,1 & 1 mg/ml 32°C Non precisata
3 Giorno
157
Livello di evidenza A+

Poliolefina Glucosio 5% 0,1 & 1 mg/ml 4°C Al riparo dalla luce
3 Giorno
157
Livello di evidenza A+

Poliolefina Glucosio 5% 0,3 mg/ml 25°C Al riparo dalla luce
8 Giorno
2174
Livello di evidenza A+

Poliolefina Glucosio 5% 0,3 mg/ml 5°C Al riparo dalla luce
28 Giorno
2174
Livello di evidenza A+

Poliolefina Glucosio 5% 0,3 & 1,2 mg/ml 20°C-23°C Luce
48 Ora
669
Livello di evidenza A

Poliolefina Glucosio 5% 0,3 & 1,2 mg/ml 25°C Al riparo dalla luce
72 Ora
1522
Dati di stabilità del produttore

Poliolefina Glucosio 5% 0,3 &1,2 mg/ml 4°C Al riparo dalla luce
72 Ora
2014
Livello di evidenza C

Poliolefina Glucosio 5% 0,3 >>1,2 mg/ml 30°C Al riparo dalla luce
4 Giorno
173
Livello di evidenza A

Poliolefina Glucosio 5% 0,6 mg/ml 20°C-23°C Non precisata
25 Ora
412
Livello di evidenza A

Poliolefina Glucosio 5% 0,75 mg/ml 25°C Al riparo dalla luce
4 Giorno
2174
Livello di evidenza A+

Poliolefina Glucosio 5% 0,75 mg/ml 5°C Al riparo dalla luce
16 Giorno
2174
Livello di evidenza A+

Poliolefina Glucosio 5% 0.3 > 1.2 mg/ml 25°C Luce
72 Ora
1956
Dati di stabilità del produttore

Poliolefina Glucosio 5% 0.3 > 1.2 mg/ml 5°C Al riparo dalla luce
14 Giorno
1956
Dati di stabilità del produttore

Poliolefina Glucosio 5% 1,2 mg/ml 20°C-23°C Non precisata
12 Ora
412
Livello di evidenza A

Poliolefina Glucosio 5% 1,2 mg/ml 25°C Al riparo dalla luce
4 Giorno
2174
Livello di evidenza A+

Poliolefina Glucosio 5% 1,2 mg/ml 5°C Al riparo dalla luce
12 Giorno
2174
Livello di evidenza A+


  Mentions Légales