Cập nhật lần cuối :
18/03/2026
Khác   N-acetylcysteine  
Khí dung
Dạng tiêm Dung dịch uống Thuốc nhỏ mắt
Tính ổn định của các chế phẩm Độ ổn định khi trộn lẫn Những yếu tố ảnh hưởng đến độ ổn định Khả năng tương thích Tài liệu tham khảo Pdf
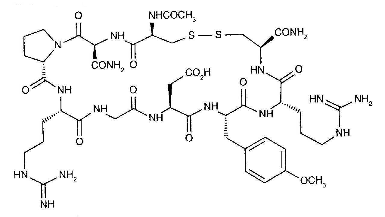
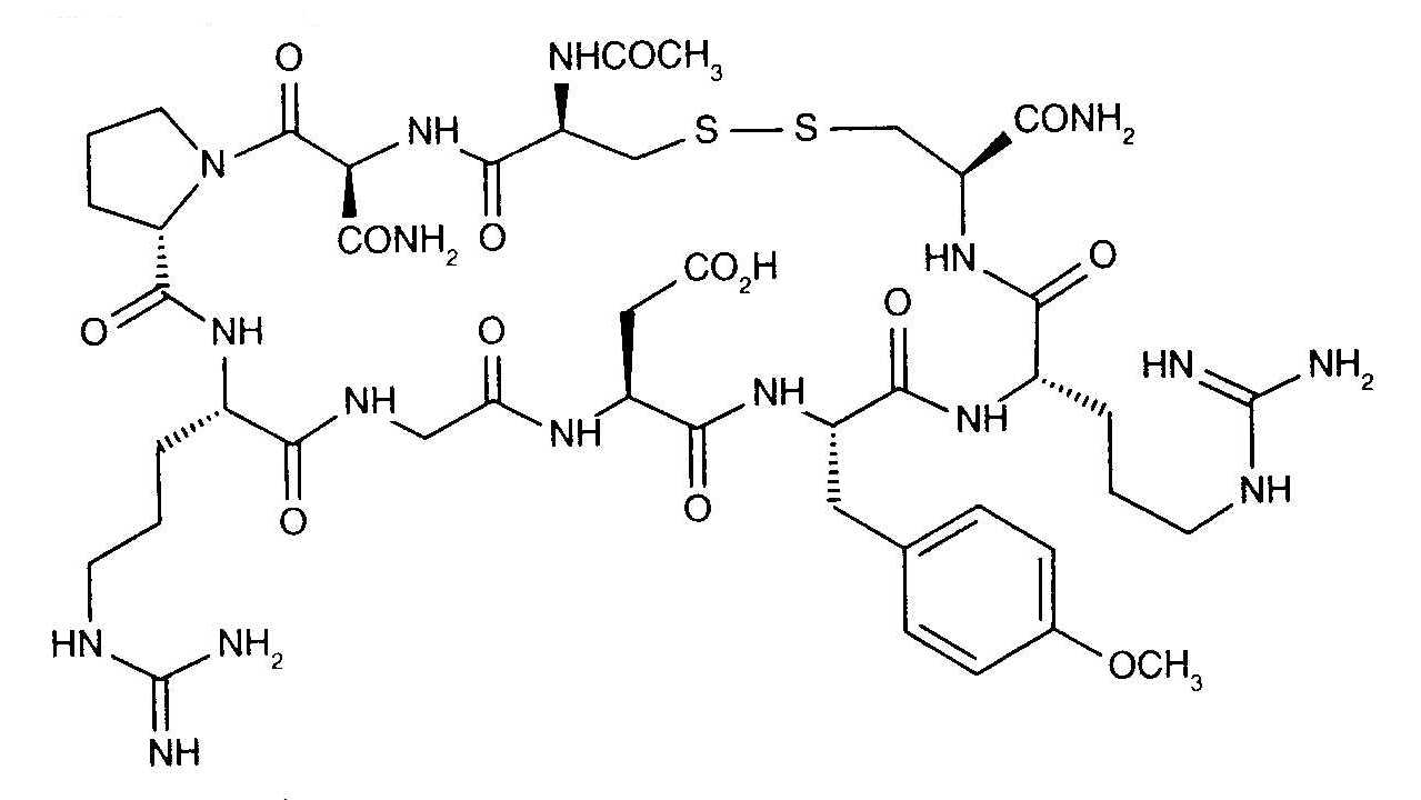
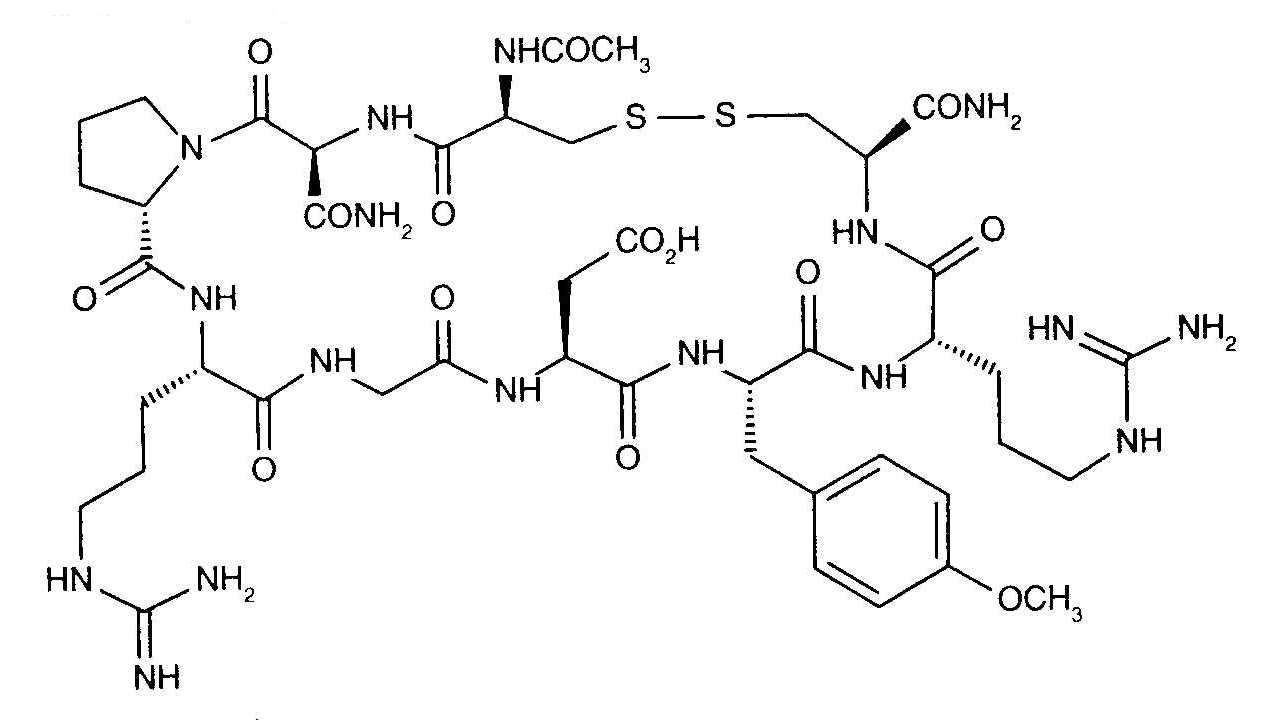
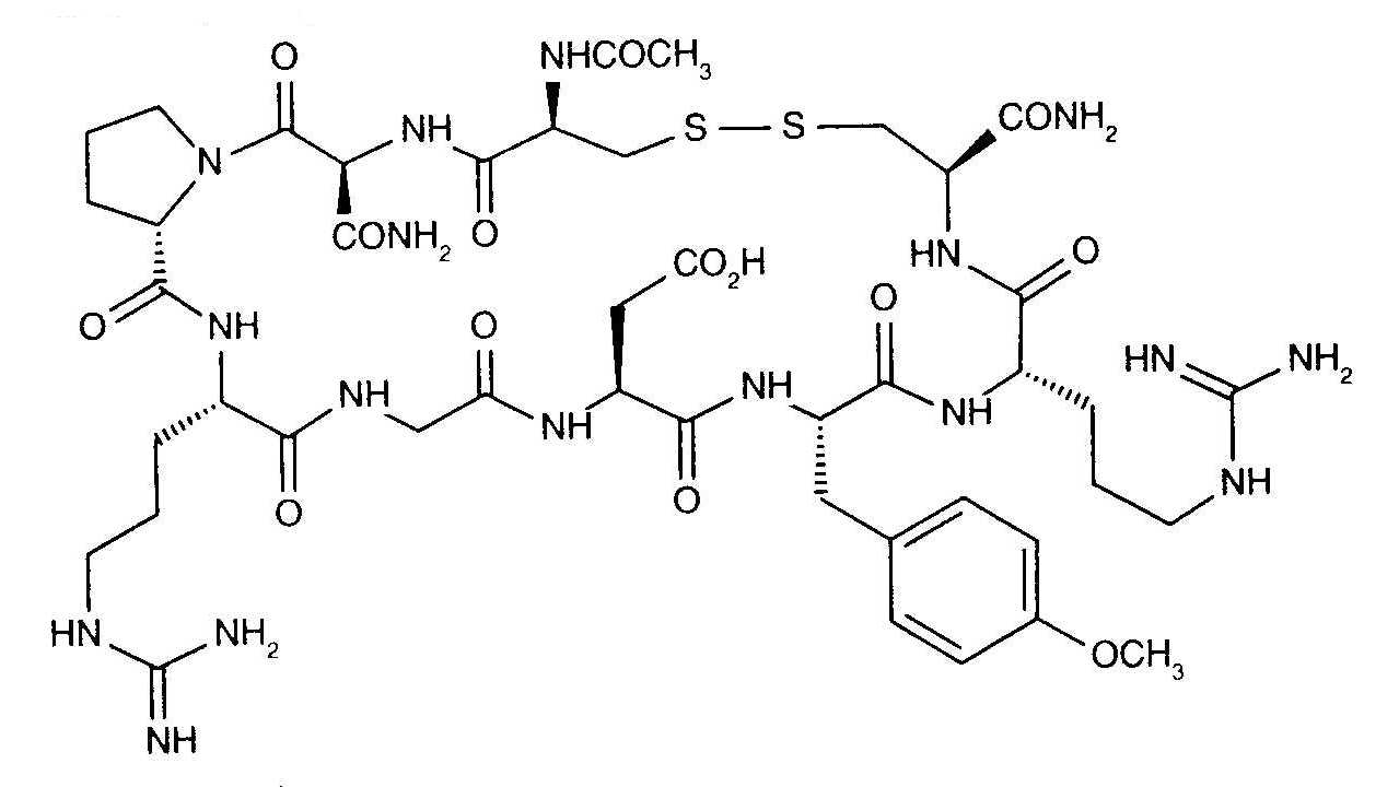
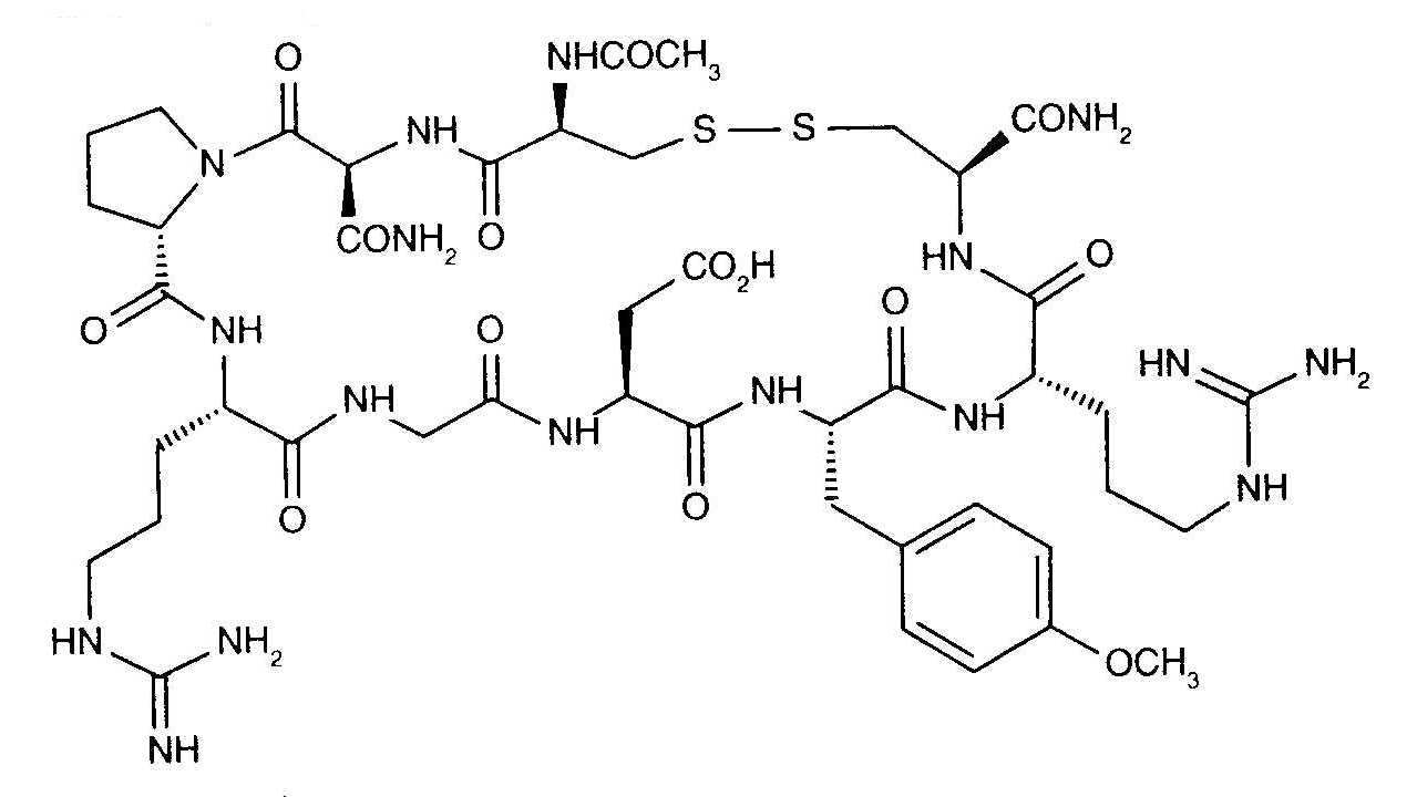
   Cấu trúc hóa học  

Khí dung
Tính ổn định của các chế phẩm   Khí dung   Tính ổn định của các chế phẩm : N-acetylcysteine     
Không có dữ liệu

  Mentions Légales