Последнее обновление :
18/03/2026
Разное   N-acetylcysteine  
Аэрозоль
Глазные капли Инъекция Раствор для перорального приёма
Стабильность фармацевтических препаратов Стабильность смесей Факторы, которые влияют на стабильность Совместимость Библиография pdf
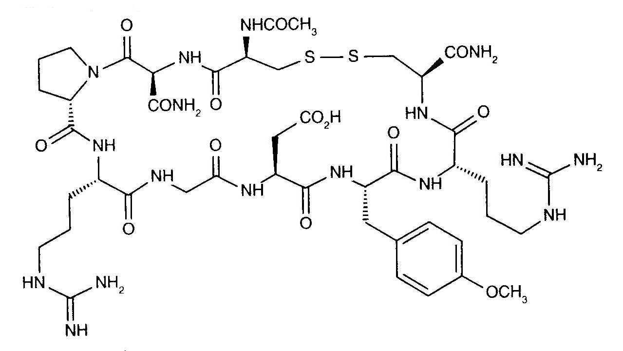
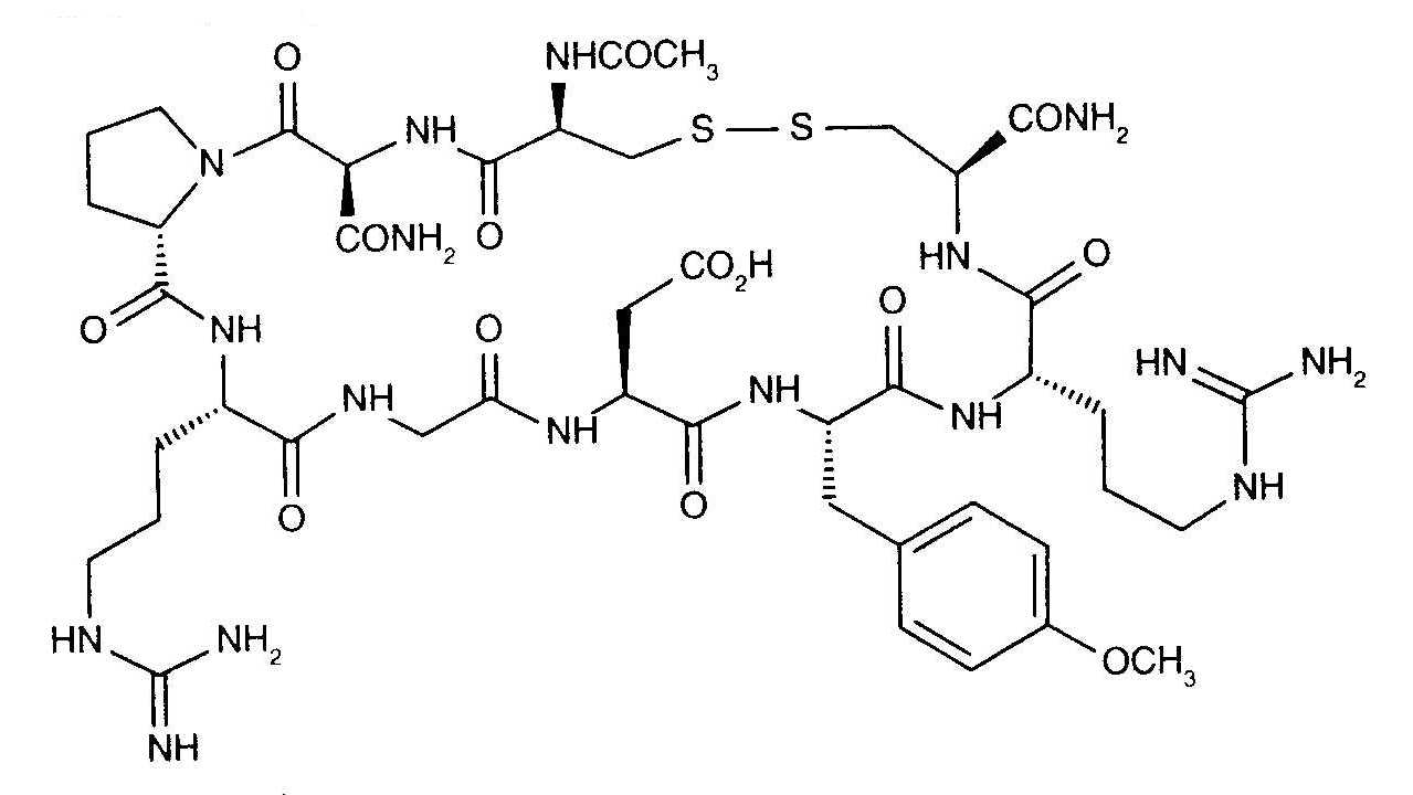
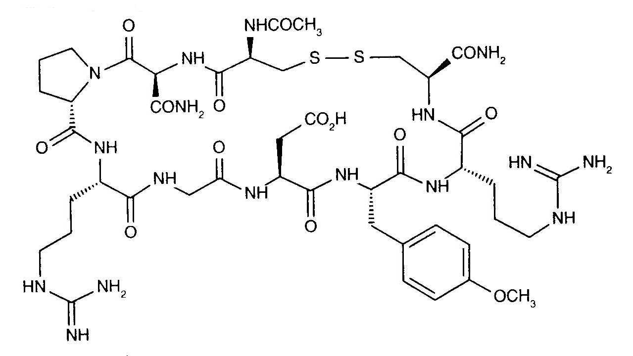
   Химическая структура  

Аэрозоль
Стабильность фармацевтических препаратов   Аэрозоль   Стабильность фармацевтических препаратов : N-acetylcysteine     
данных нет

  Mentions Légales