Pēdējā atjaunošana :
27/11/2025
Dažādi   N-acetylcysteine  
Aerosols
Acu pilieni Injekcija Orāls šķīdums
Stabilitāte farmaceitisko preparātu Maisījuma stabilitāte Stabilitāti ietekmējoši faktori Saderība Literatūras saraksts pdf
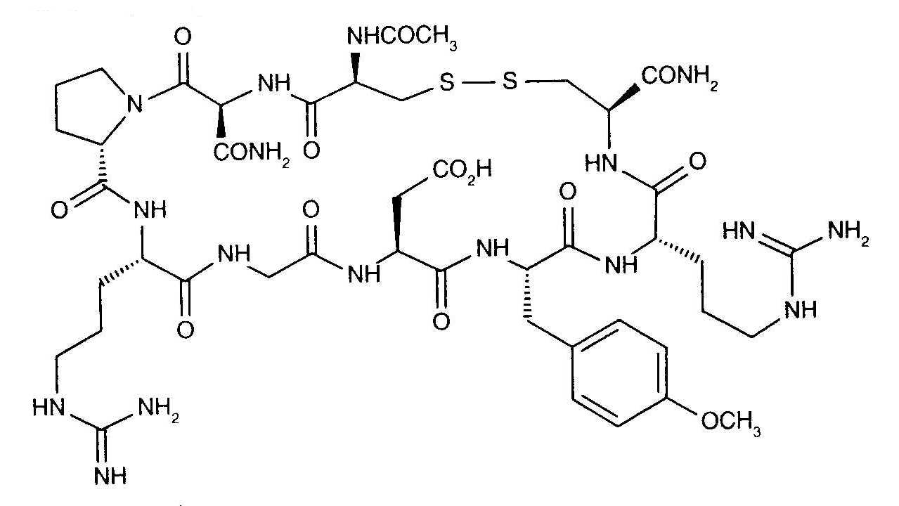
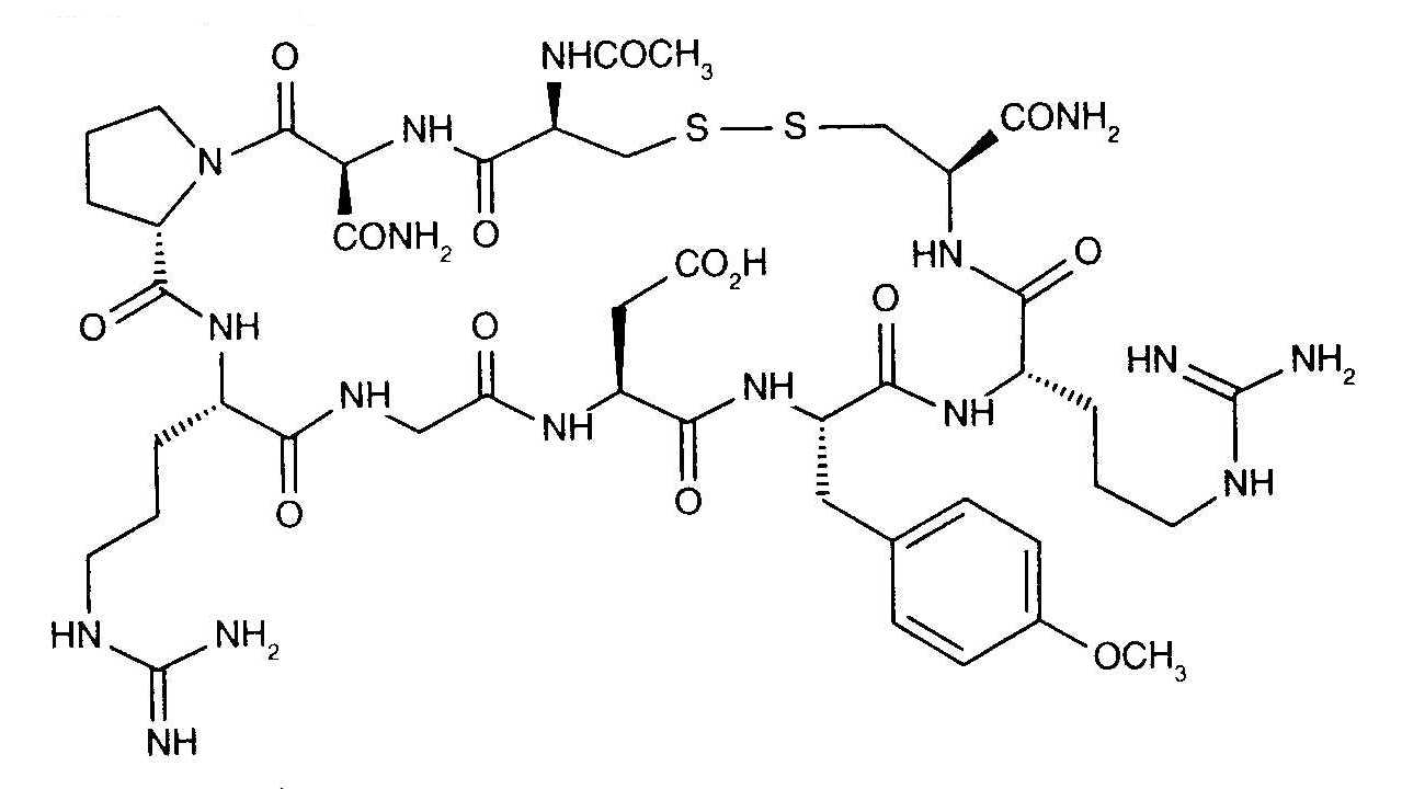
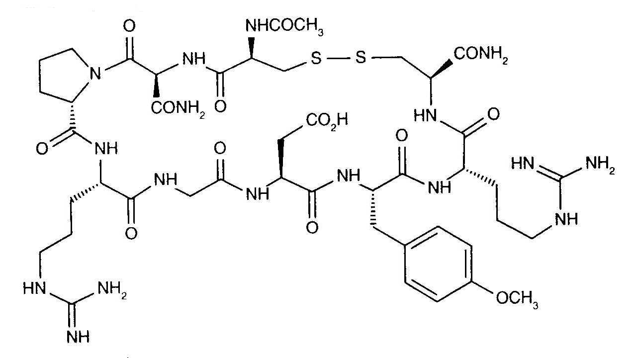
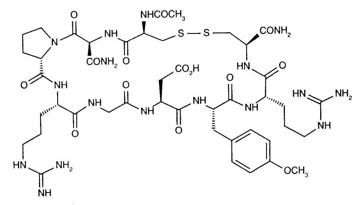
   Ķīmiskā uzbūve   

Aerosols
Stabilitāte farmaceitisko preparātu   Aerosols   Stabilitāte farmaceitisko preparātu : N-acetylcysteine     
Nav datu

  Mentions Légales