Last update :
05/12/2025
Various   N-acetylcysteine  
aerosol
Eye-drops injection Oral solution
Stability of pharmaceutical preparations Stability of mixtures Factors which affect stability Compatibility References pdf
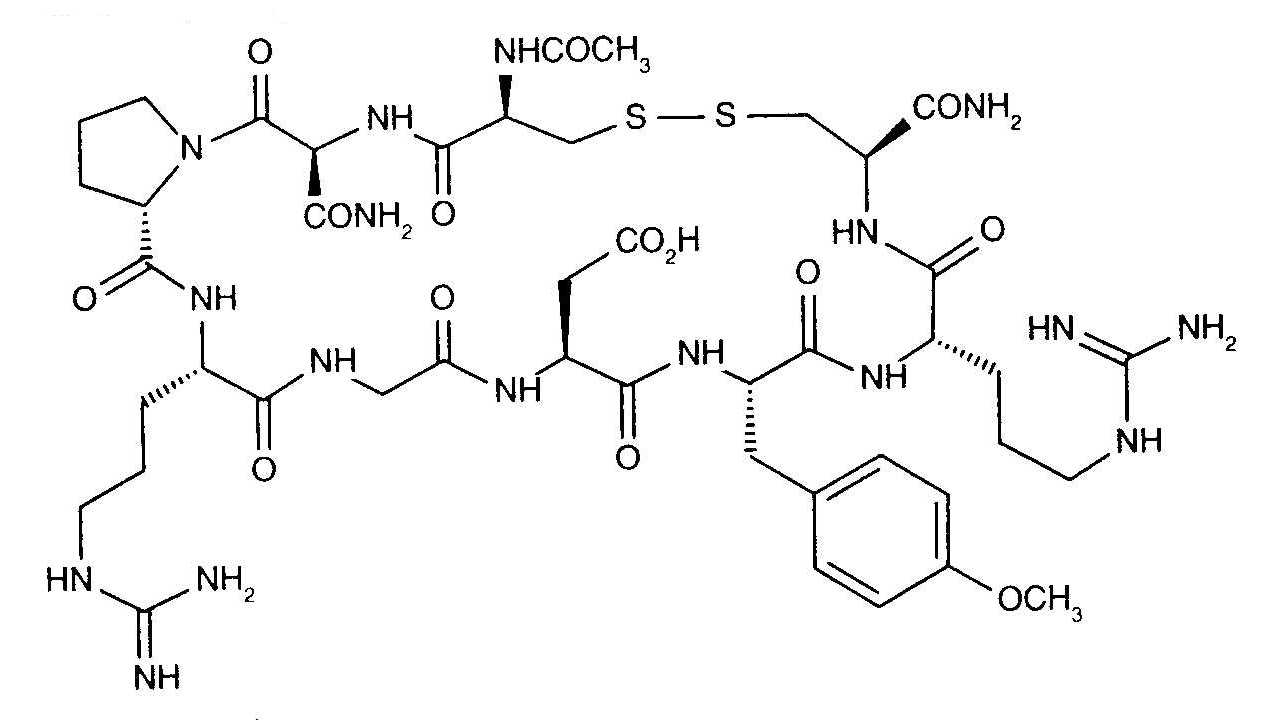
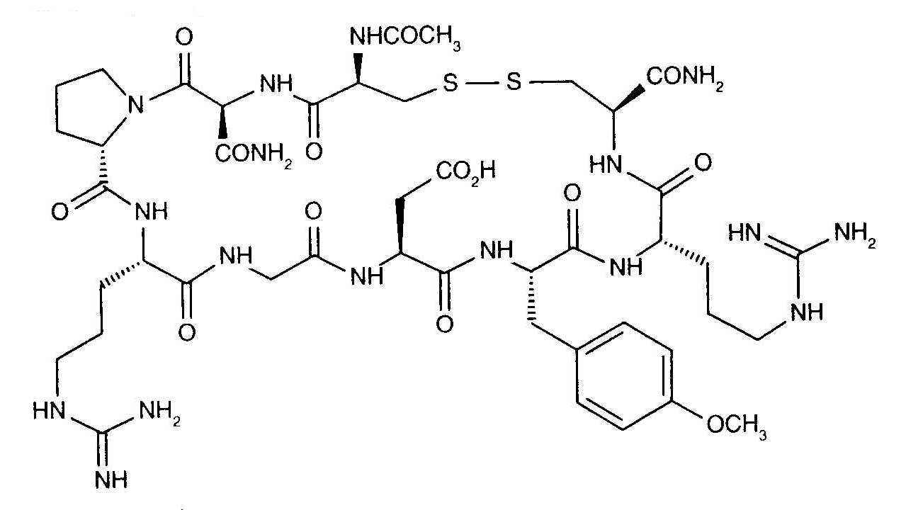
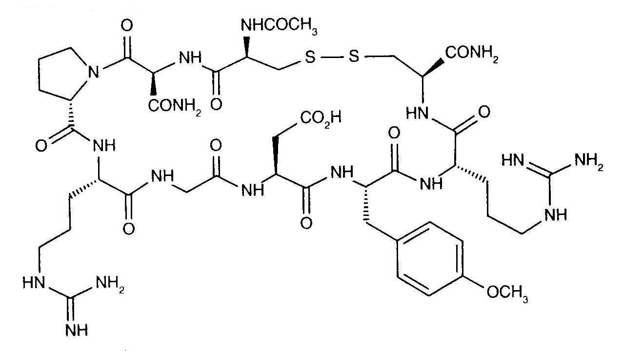
   Chemical structure  

aerosol
Stability of pharmaceutical preparations   aerosol   Stability of pharmaceutical preparations : N-acetylcysteine     
No data

  Mentions Légales