最新更新 :
27/11/2025
様々なもの   N-acetylcysteine  
エアロゾル
注射薬 点眼薬 経口液
調剤時の安定性 混合時の安定性 安定性に影響する因子 互換性 引用文献 PDF
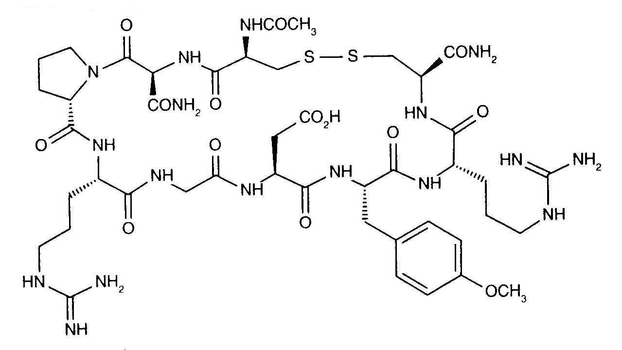
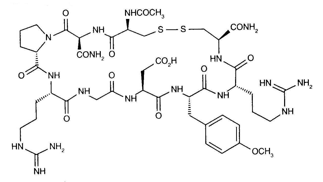
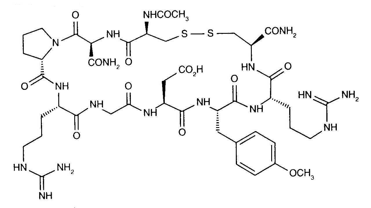
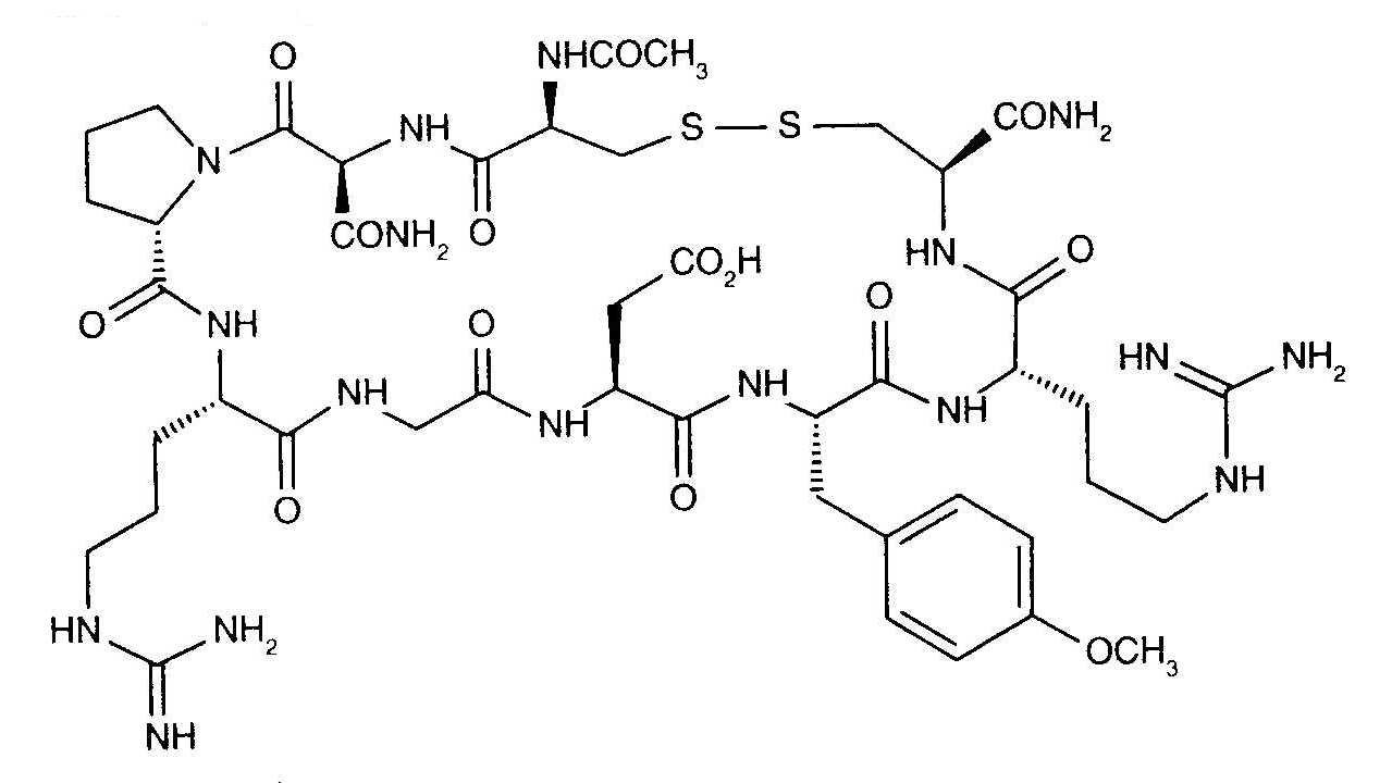
   化学構造  

エアロゾル
調剤時の安定性   エアロゾル   調剤時の安定性 : N-acetylcysteine     
データなし

  Mentions Légales