Останнє оновлення :
18/03/2026
різноманітні   N-acetylcysteine  
аерозоль
ін'єкція Очні краплі Розчин для перорального застосування
Стабільність фармацевтичних препаратів Стійкість сумішей Фактори, що впливають на стабільність Сумісність Список літератури pdf
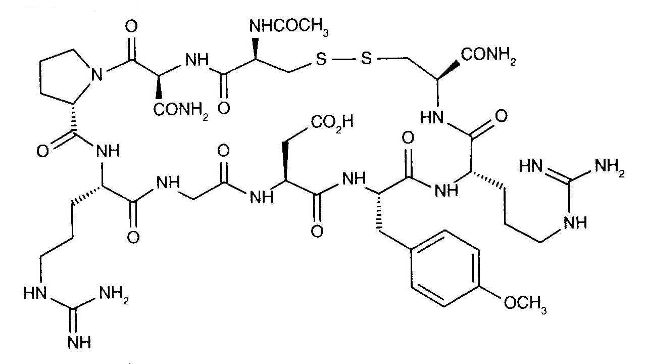
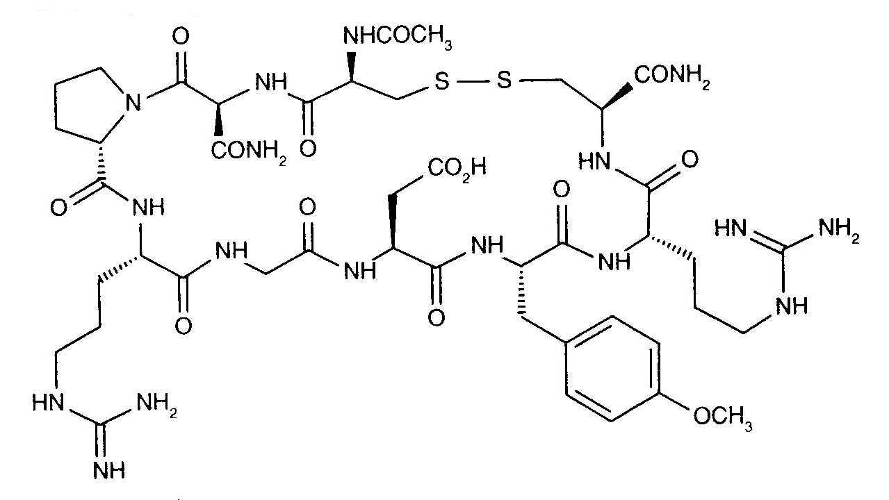
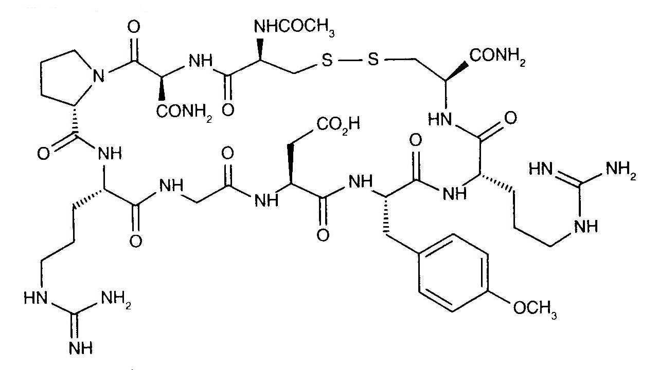
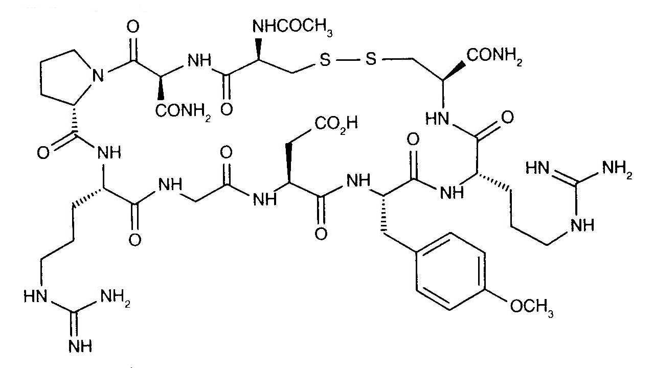
   Хімічна структура  

аерозоль
Сумісність   аерозоль   Сумісність : N-acetylcysteine              
explication_incompatibilite_molecules
З'єднання Excipient Список літератури

  Mentions Légales