Poslední aktualizace :
18/03/2026
Įvairūs   N-acetylcysteine  
Aerozolis
Akių lašai Geriamas tirpalas Įpurškimas
Stabilumas farmacinių preparatų Mišinių stabilumas Stabilumą lemiantys veiksniai Suderinamumas Bibliografija pdf
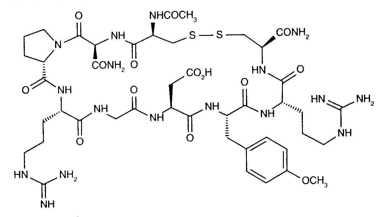
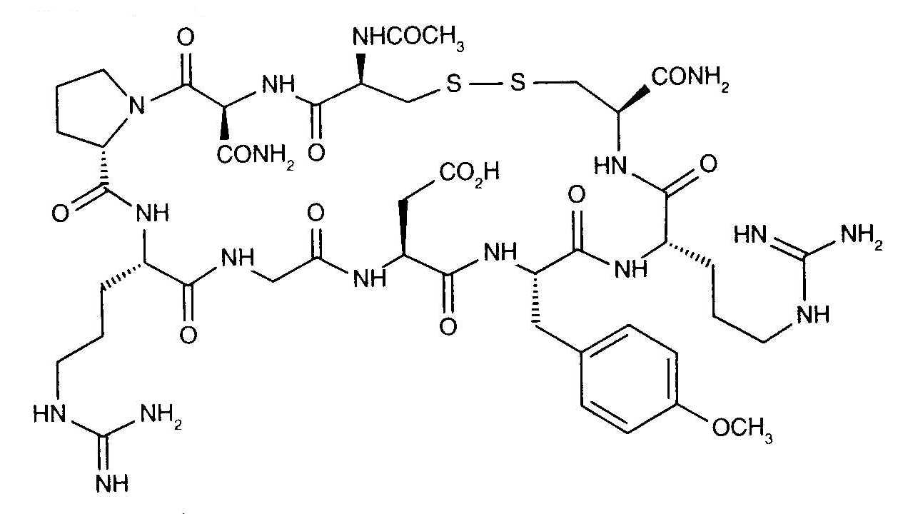
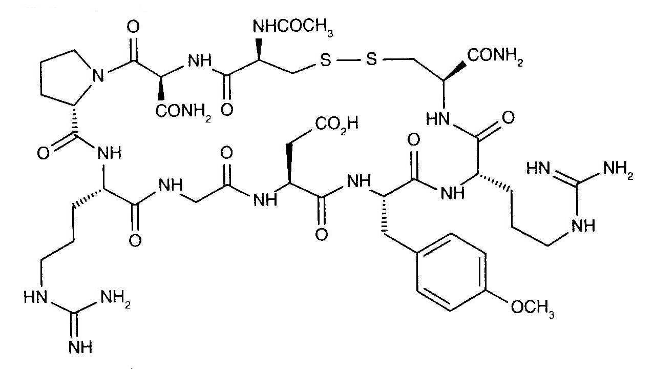
   Cheminė sandara  

Aerozolis
Suderinamumas   Aerozolis   Suderinamumas : N-acetylcysteine              
explication_incompatibilite_molecules
Molekulė Excipient Nuorodos

  Mentions Légales