Ultimo aggiornamento :
18/03/2026
Altro   N-acetylcysteine  
Aerosol
Collirio Iniezione Soluzione orale
Stabilità dei preparati farmaceutici Stabilità in miscela Fattori che influenzano la stabilità Compatibilità Bibliografia pdf
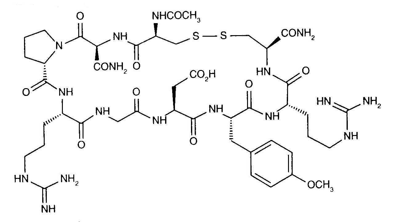
   Struttura chimica  

Aerosol
Compatibilità   Aerosol   Compatibilità : N-acetylcysteine              
explication_incompatibilite_molecules
Molecola Excipient Bibliografia

  Mentions Légales