Pēdējā atjaunošana :
18/03/2026
Dažādi   N-acetylcysteine  
Aerosols
Acu pilieni Injekcija Orāls šķīdums
Stabilitāte farmaceitisko preparātu Maisījuma stabilitāte Stabilitāti ietekmējoši faktori Saderība Literatūras saraksts pdf
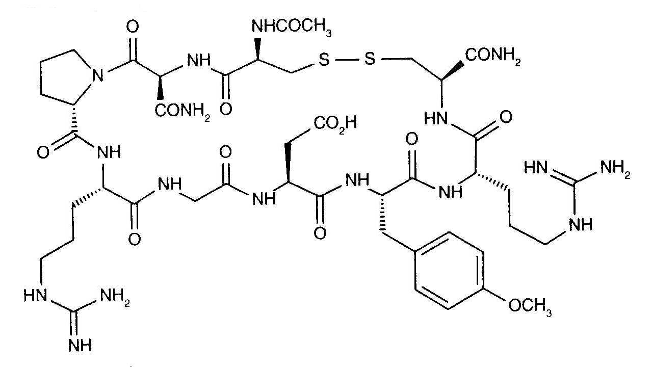
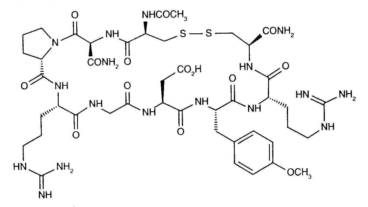
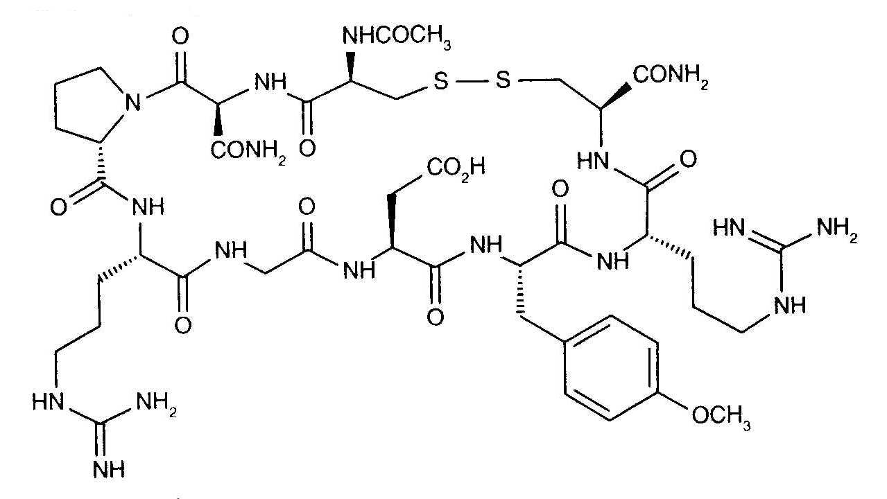
   Ķīmiskā uzbūve   

Aerosols
Saderība   Aerosols   Saderība : N-acetylcysteine              
Šī tabula parāda zāļu saderību vai nesaderību, pēc iespējas arī nesaderības tipu (precipitācija, krāsas maiņa, emulsijas sadalīšanās utt). Parādītas šeit saderības ir pārsvarā tikai fizikālās, pēc iespējas tiek parādīta ķīmiskā stabilitāte katrai molekulai. Šo maisījumu analīze tikai veikta, lai izprastu iespējamību ievadīt zāles Y-savienojuma vietā sistēmā pacientam. Šie dati nevar tikt izmantoti, lai pagatavot zāļu maisījumus vēlākai lietošanai maisos vai šļircēs. Šī informācija ir pieejama sadaļā "Maisījuma stabilitāte".
Savienojums Excipient Literatūras saraksts

  Mentions Légales