Son güncelleme :
27/11/2025
Antifungal   Amphotericin B   
Oral solüsyon / oral çözelti
Aerosol Enjeksiyon Gargara Göz damlası
Farmasötik preparatlar Kararlılığı Karışımlardaki stabilitesi Stabiliteyi etkileyen faktörler Uyumluluk Kaynaklar pdf
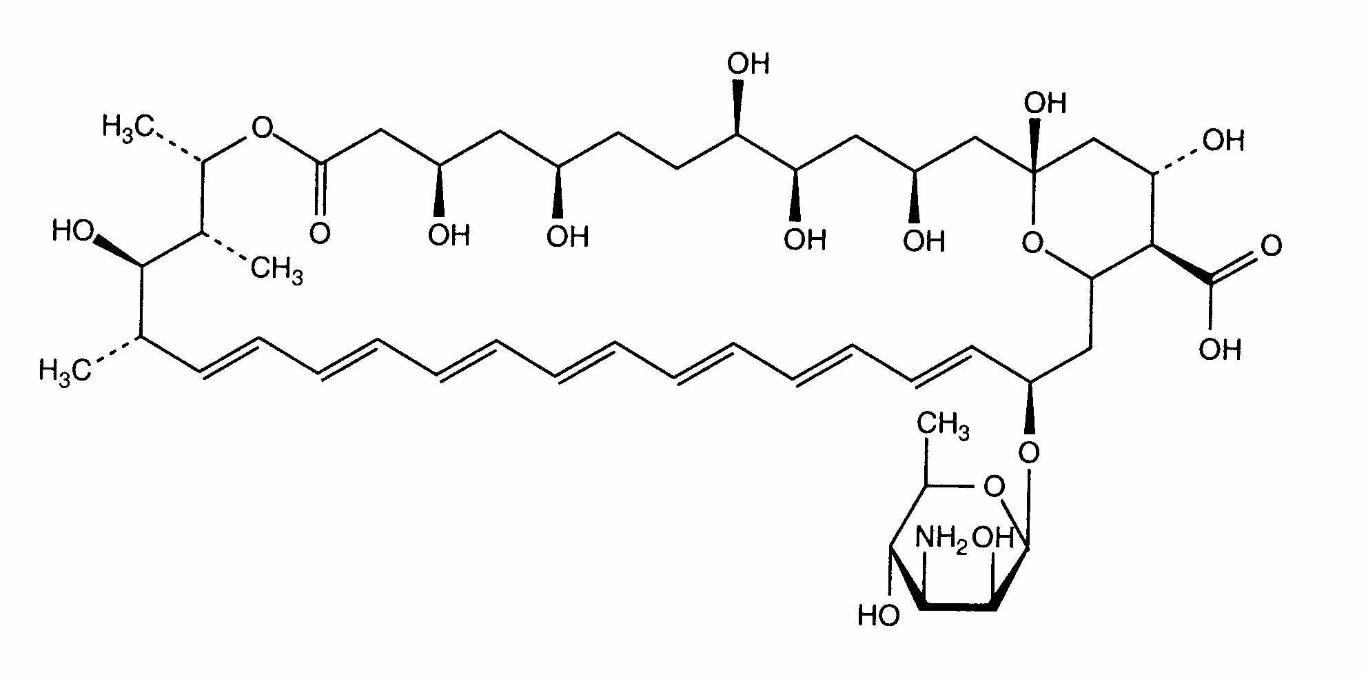
   Kimyasal yapı   

Oral solüsyon / oral çözelti
Kaynaklar   Oral solüsyon / oral çözelti   Kaynaklar : Amphotericin B   
tip yayın
2940 Dergi Dentinger PJ, Swenson CF, Anaizi NH.
Stability of amphotericin B in an extemporaneously compounded oral suspension.
Am J Health-Syst Pharm 2001 ; 58: 1021-1024.
3685 Dergi Pfeifer C, Noll S, Gerecke H, Fassauer G, Jira T, Remane Y , Vogel J, Frontini R, Reinhardt R.
A stability study of amphotericin B, colistin and tobramycin in a hydrophilic suspension commonly used for selective decontamination of the digestive tract by HPLC and in vitro potency measurements.
EJHP 2017 ; 24:4 : 235-241

  Mentions Légales