Poslední aktualizace :
27/11/2025
Protiplísňový přípravek   Amphotericin B   
Perorální roztok
Aerosol Humbuk injekce kloktadlo
Stabilita farmaceutických přípravků Stabilita směsí Faktory ovlivňující stabilitu Kompatibilita Odkazy pdf
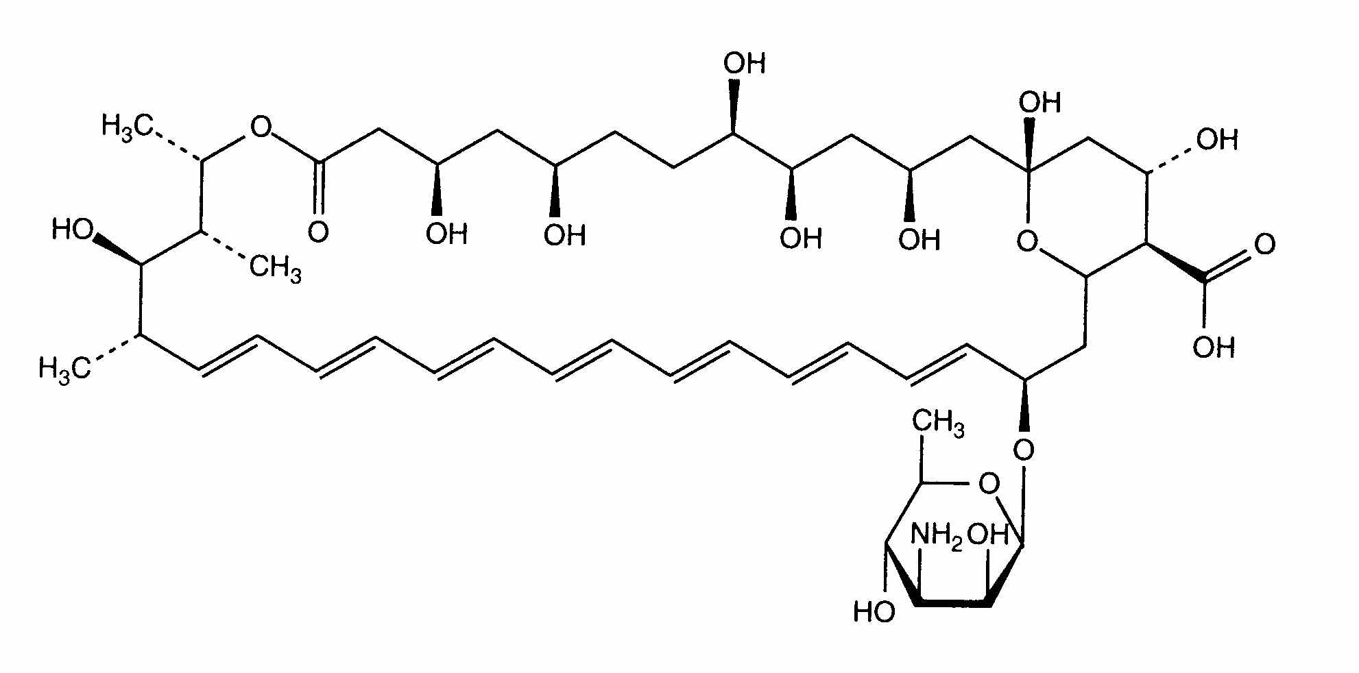
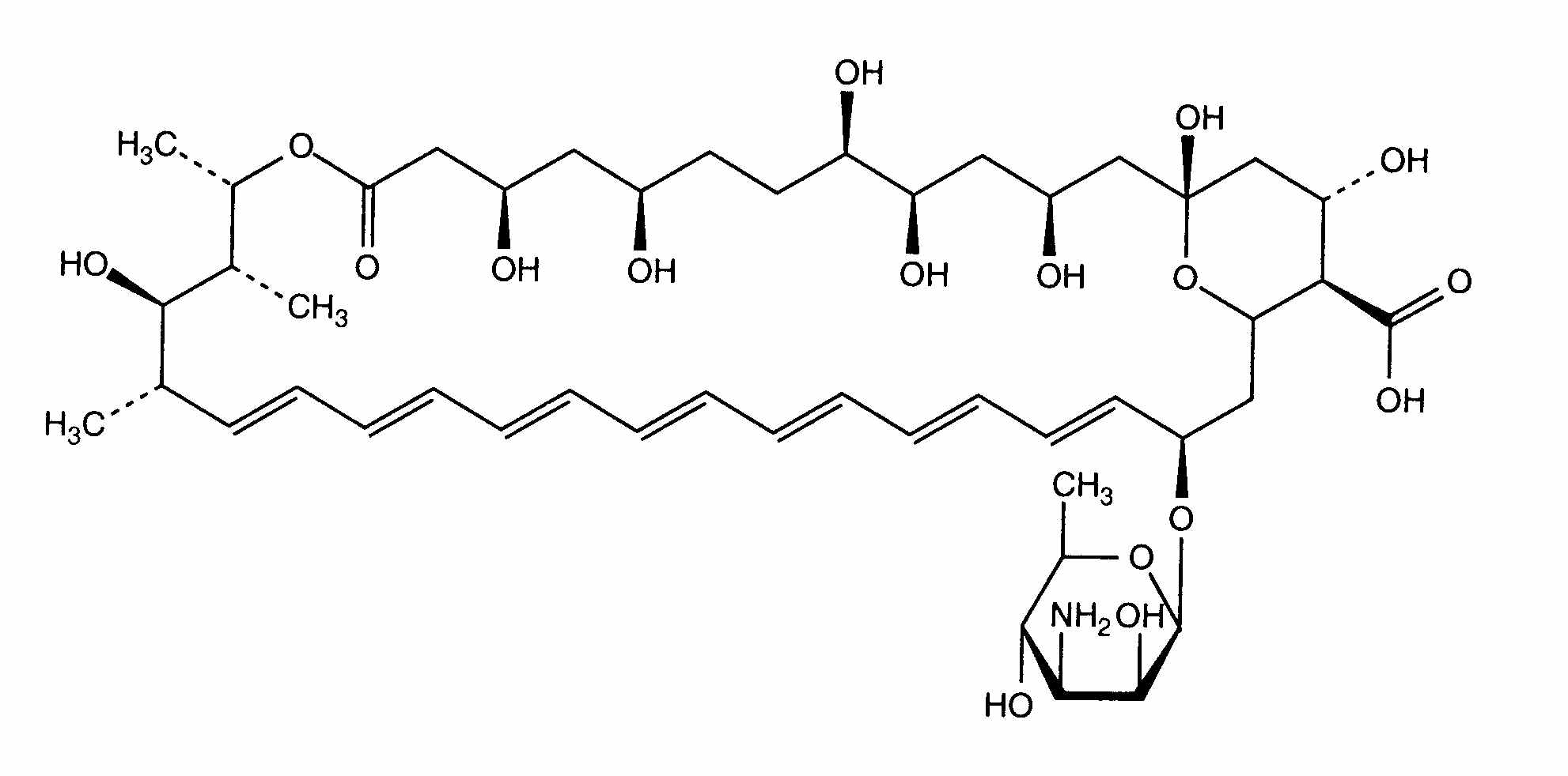
   Chemický vzorec  

Perorální roztok
Odkazy   Perorální roztok   Odkazy : Amphotericin B   
typ uveřejnění
2940 noviny Dentinger PJ, Swenson CF, Anaizi NH.
Stability of amphotericin B in an extemporaneously compounded oral suspension.
Am J Health-Syst Pharm 2001 ; 58: 1021-1024.
3685 noviny Pfeifer C, Noll S, Gerecke H, Fassauer G, Jira T, Remane Y , Vogel J, Frontini R, Reinhardt R.
A stability study of amphotericin B, colistin and tobramycin in a hydrophilic suspension commonly used for selective decontamination of the digestive tract by HPLC and in vitro potency measurements.
EJHP 2017 ; 24:4 : 235-241

  Mentions Légales