Última actualización :
27/11/2025
Antifúngico   Amphotericin B   
Solución Oral
Aerosol Enjuagues bucales Gotas oculares Inyectables
La estabilidad de las preparaciones farmacéuticas Estabilidad en mezcla Factores que influyen sobre la estabilidad Compatibilidades Bibliografía pdf
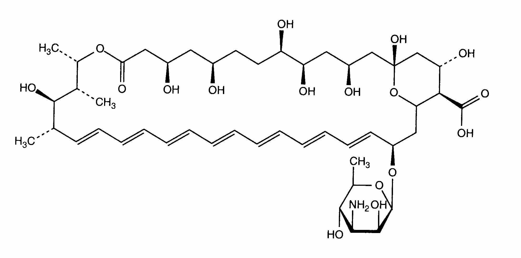
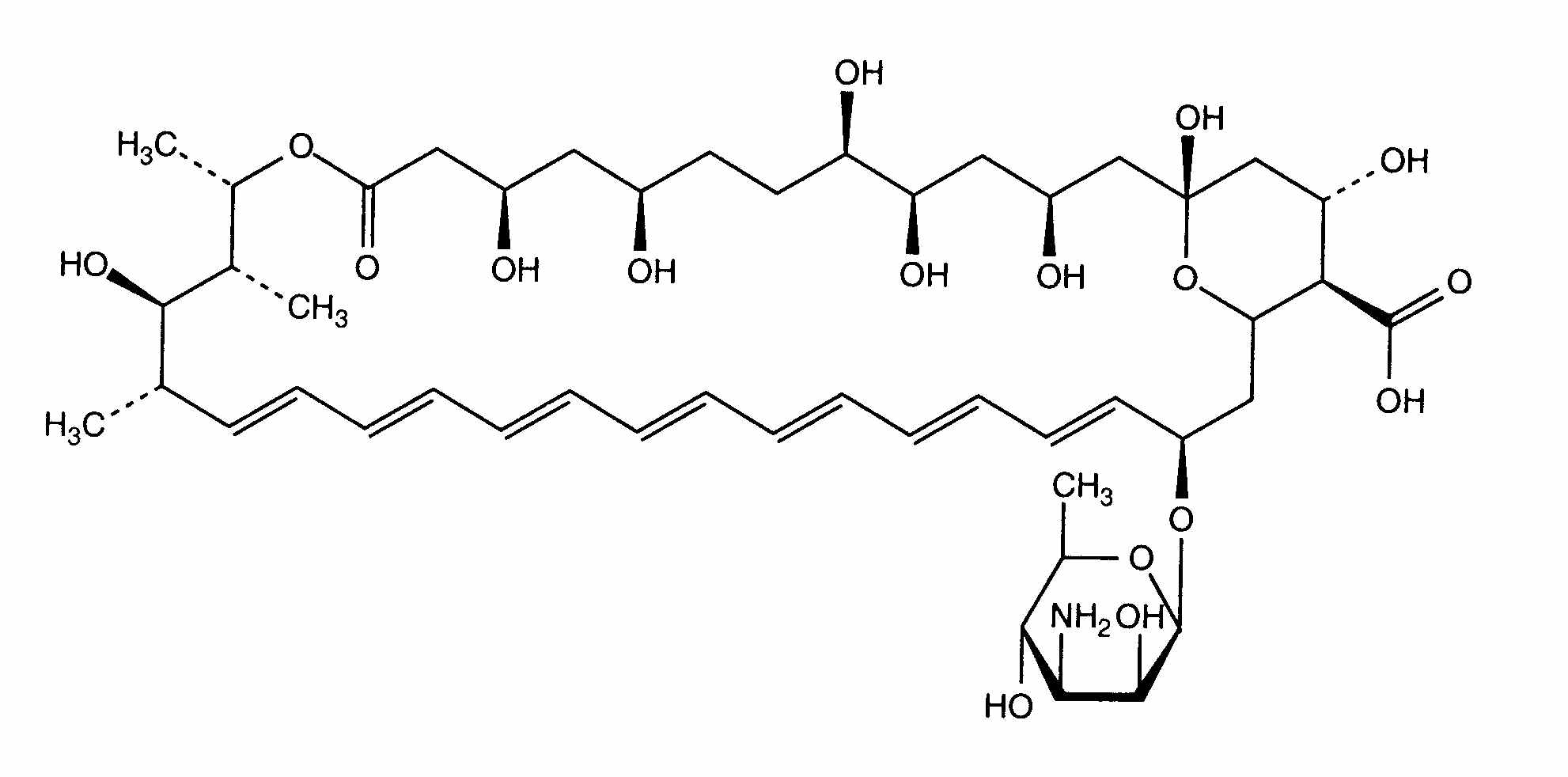
   Estructura química  

Solución Oral
Bibliografía   Solución Oral   Bibliografía : Amphotericin B   
Tipo Publicación
2940 periódico Dentinger PJ, Swenson CF, Anaizi NH.
Stability of amphotericin B in an extemporaneously compounded oral suspension.
Am J Health-Syst Pharm 2001 ; 58: 1021-1024.
3685 periódico Pfeifer C, Noll S, Gerecke H, Fassauer G, Jira T, Remane Y , Vogel J, Frontini R, Reinhardt R.
A stability study of amphotericin B, colistin and tobramycin in a hydrophilic suspension commonly used for selective decontamination of the digestive tract by HPLC and in vitro potency measurements.
EJHP 2017 ; 24:4 : 235-241

  Mentions Légales