Последнее обновление :
27/11/2025
Противогрибковое средство   Amphotericin B   
Раствор для перорального приёма
Аэрозоль Глазные капли Инъекция Ополаскиватель для полости рта
Стабильность фармацевтических препаратов Стабильность смесей Факторы, которые влияют на стабильность Совместимость Библиография pdf
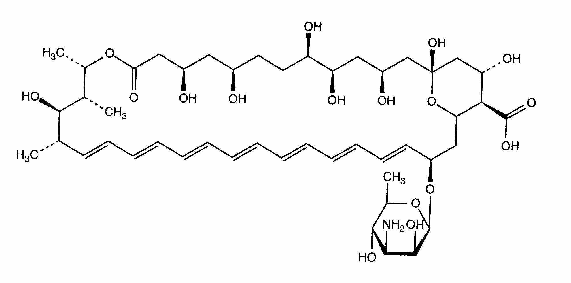
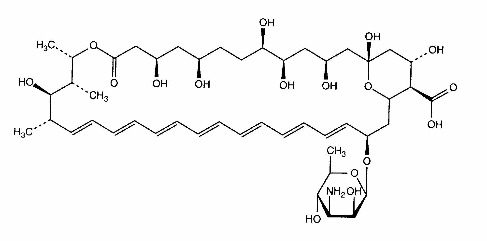
   Химическая структура  

Раствор для перорального приёма
Библиография   Раствор для перорального приёма   Библиография : Amphotericin B   
тип публикация
2940 Журнал Dentinger PJ, Swenson CF, Anaizi NH.
Stability of amphotericin B in an extemporaneously compounded oral suspension.
Am J Health-Syst Pharm 2001 ; 58: 1021-1024.
3685 Журнал Pfeifer C, Noll S, Gerecke H, Fassauer G, Jira T, Remane Y , Vogel J, Frontini R, Reinhardt R.
A stability study of amphotericin B, colistin and tobramycin in a hydrophilic suspension commonly used for selective decontamination of the digestive tract by HPLC and in vitro potency measurements.
EJHP 2017 ; 24:4 : 235-241

  Mentions Légales