Последно актуализиране :
27/11/2025
Невролептик   Thiothixene  
Орален разтвор
Стабилност на лекарствени препарати Стабилност на смеси Фактори, повлияващи стабилността Съвместимост Библиография Pdf
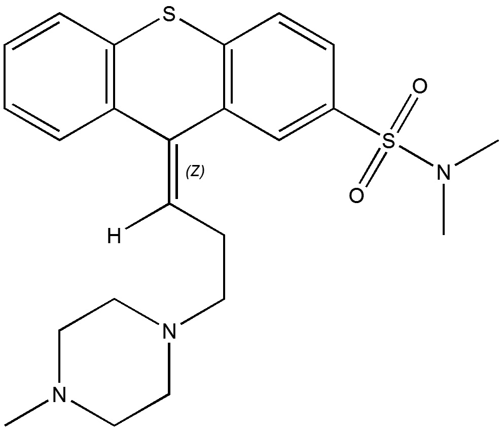
   Химична структура  

Орален разтвор
Стабилност на лекарствени препарати   Орален разтвор   Стабилност на лекарствени препарати : Thiothixene     
Няма данни

  Mentions Légales