Siste oppdatering :
27/11/2025
Infostab
Lister
Sammendrag
Søk etter kompatibilitet
Y-side kompatibilitetstabell
Referanser
Forskerteamet
valistab
plakat
Tilkoblinger
sponsorer
Forfatter
Instruksjon
Nyhetsbrev
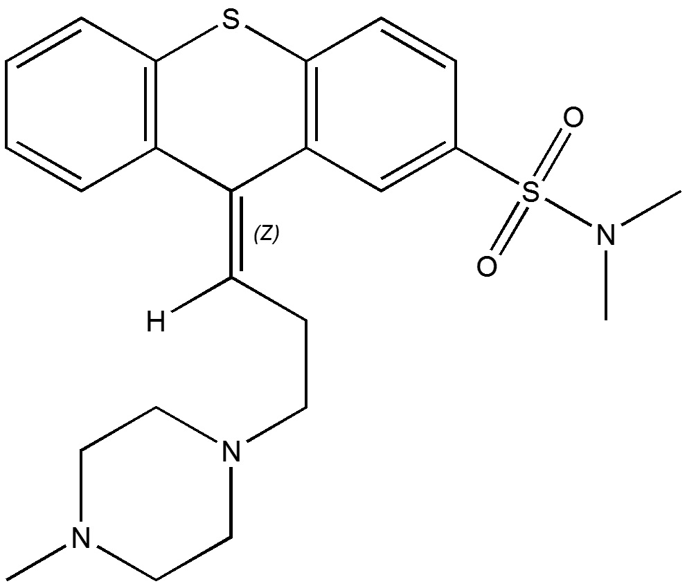
Thiothixene
Kjemisk struktur
Stabilitet av farmasøytiske preparater : Thiothixene
Ingen opplysninger
Mentions Légales