Poslední aktualizace :
27/11/2025
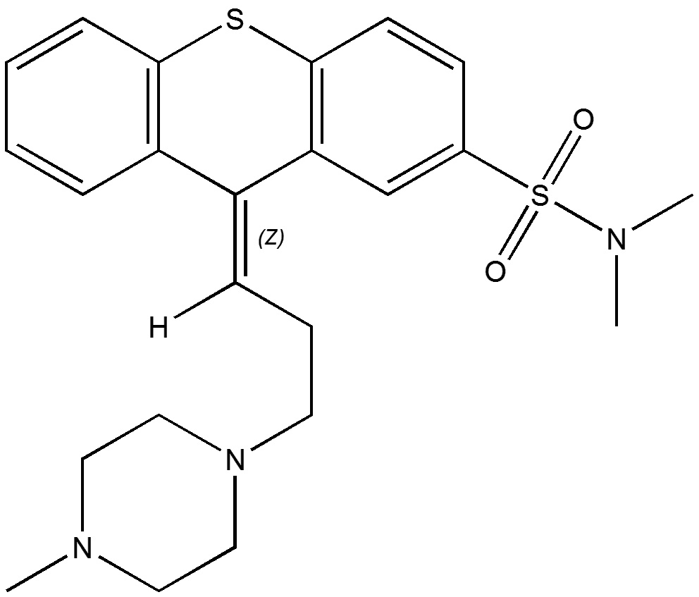
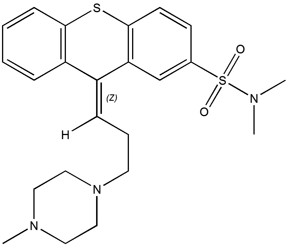
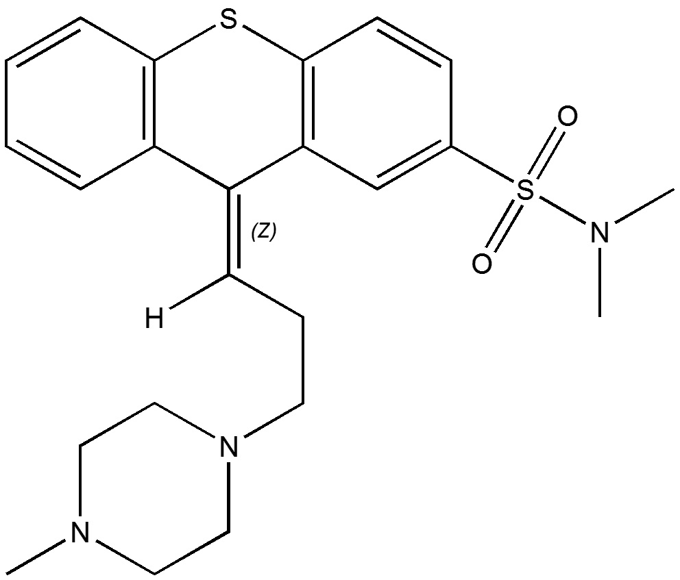
Neuroleptikas   Thiothixene  
Geriamas tirpalas
Stabilumas farmacinių preparatų Mišinių stabilumas Stabilumą lemiantys veiksniai Suderinamumas Bibliografija pdf
   Cheminė sandara  

Geriamas tirpalas
Stabilumas farmacinių preparatų   Geriamas tirpalas   Stabilumas farmacinių preparatų : Thiothixene     
Nėra duomenų

  Mentions Légales