Poslední aktualizace :
18/03/2026
Beta blokatorius   Carvedilol  
Geriamas tirpalas
Stabilumas farmacinių preparatų Mišinių stabilumas Stabilumą lemiantys veiksniai Suderinamumas Bibliografija pdf
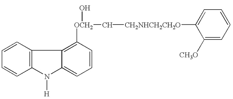
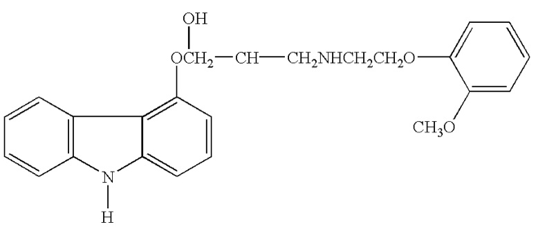
   Cheminė sandara  

Geriamas tirpalas

Stabilumą lemiantys veiksniai   Geriamas tirpalas   Stabilumą lemiantys veiksniai : Carvedilol        
Nėra duomenų

  Mentions Légales