Zadnji put ažurirano :
05/12/2025
betablokatori   Carvedilol  
oralna otopina
Stabilnost farmaceutskih pripravaka Stabilnost mješavine Stabilizacijski faktor Kompatibilnosti Bibliografija pdf
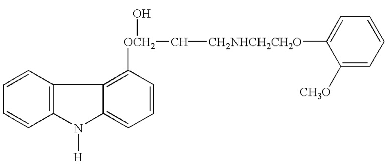
   Kemijska struktura  

oralna otopina

Stabilizacijski faktor   oralna otopina     Stabilizacijski faktor : Carvedilol        
bez podataka

  Mentions Légales