Последно актуализиране :
18/03/2026
Бета-блокер   Carvedilol  
Орален разтвор
Стабилност на лекарствени препарати Стабилност на смеси Фактори, повлияващи стабилността Съвместимост Библиография Pdf
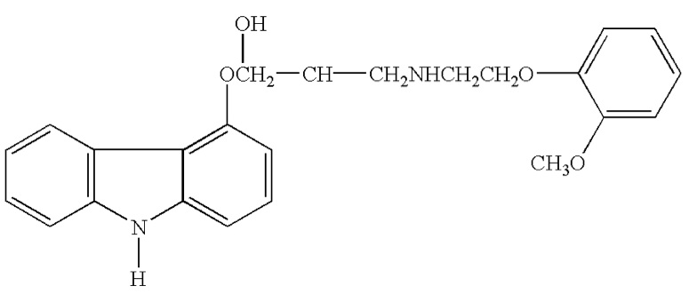
   Химична структура  

Орален разтвор

Фактори, повлияващи стабилността   Орален разтвор   Фактори, повлияващи стабилността : Carvedilol        
Няма данни

  Mentions Légales