Dernière mise à jour :
27/11/2025
Infostab
Liste des molécules
Listes récapitulatives
Recherches de compatibilités
Tableau de compatibilités en Y
Bibliographie
Equipes de recherche
Valistab
Posters
Liens infostab
Partenaires
Auteurs
Manuel d'utilisation
Lettre d'actualité
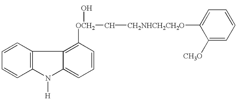
Carvedilol
Structure chimique
Bibliographie : Carvedilol
Type
Source
2931
Revue
Yamreudeewong W, Dolence EK, Pahl D.
Stability of two extemporaneously prepared oral metoprolol and carvedilol liquids.
Hosp Pharm 2006 ; 41: 254-259.
3167
Revue
Buontempo F, Bernabeu E, Glisoni RJ, Quiroga E, Bregni C, Chiappetta DA.
Carvedilol stability in paediatric oral liquid formulations.
Farm Hosp 2010 ;34:293-7.
3910
Revue
Polonini H.C, Silva S .L, de Almeida T.R, Brand?o M.A, Ferreira A.O.
Compatibility of caffeine, carvedilol, clomipramine hydrochloride, folic acid, hydrochlorothiazide, loperamide hydrochloride, methotrexate, nadolol, naltrexone hydrochloride and pentoxifylline in SyrSpend SF PH4 oral suspensions.
EJHP 2016 ; 23: 352-358.
4177
Revue
Polonini H, Loures da Silva S, Fernandes Brandao M.A, Bauters T, De Moerloose B, De Oliveira Ferreira A.
Compatibility of Baclofen, Carvedilol, Hydrochlorothiazide, Mercaptopurine, Methadone Hydrochloride, Oseltamivir Phosphate, Phenobarbital, Propranolol Hydrochloride, Pyrazinamide, Sotalol Hydrochloride, Spironolactone, Tacrolimus Monohydrate, Ursodeoxycholic Acid, and Vancomycin Hydrochloride Oral Suspensions Compounded with SyrSpend SF PH4.
Int J Pharm Compound 2018 ;22,6:516-526
Mentions Légales