Letztes “update” :
27/11/2025
Infostab
Molekülverzeichnis
Zusammenfassende Listen
Suche nach kompatibilitäten
Y-Kompatibilitätstabelle
Literaturverzeichnis
Forschungsgruppen
valistab
Poster
Links
Sponsoren
Autoren
Hinweise fûr den Benutzer
Newsletter
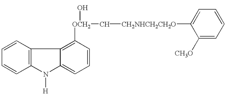
Carvedilol
Chemische Struktur
Literaturverzeichnis : Carvedilol
Typ
Veröffentlichung
2931
Zeitung
Yamreudeewong W, Dolence EK, Pahl D.
Stability of two extemporaneously prepared oral metoprolol and carvedilol liquids.
Hosp Pharm 2006 ; 41: 254-259.
3167
Zeitung
Buontempo F, Bernabeu E, Glisoni RJ, Quiroga E, Bregni C, Chiappetta DA.
Carvedilol stability in paediatric oral liquid formulations.
Farm Hosp 2010 ;34:293-7.
3910
Zeitung
Polonini H.C, Silva S .L, de Almeida T.R, Brand?o M.A, Ferreira A.O.
Compatibility of caffeine, carvedilol, clomipramine hydrochloride, folic acid, hydrochlorothiazide, loperamide hydrochloride, methotrexate, nadolol, naltrexone hydrochloride and pentoxifylline in SyrSpend SF PH4 oral suspensions.
EJHP 2016 ; 23: 352-358.
4177
Zeitung
Polonini H, Loures da Silva S, Fernandes Brandao M.A, Bauters T, De Moerloose B, De Oliveira Ferreira A.
Compatibility of Baclofen, Carvedilol, Hydrochlorothiazide, Mercaptopurine, Methadone Hydrochloride, Oseltamivir Phosphate, Phenobarbital, Propranolol Hydrochloride, Pyrazinamide, Sotalol Hydrochloride, Spironolactone, Tacrolimus Monohydrate, Ursodeoxycholic Acid, and Vancomycin Hydrochloride Oral Suspensions Compounded with SyrSpend SF PH4.
Int J Pharm Compound 2018 ;22,6:516-526
Mentions Légales