Последнее обновление :
03/02/2026
Цитостатическое средство   Cabazitaxel  
Инъекция
Стабильность растворов Стабильность смесей Факторы, которые влияют на стабильность Совместимость Способы введения Библиография pdf
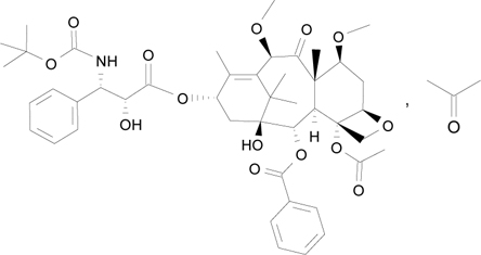
   Химическая структура  

Товарное название   Товарное название     

Trade names are indicative and excipients composition can be different depending on the country and manufacturers

Cabazil Аргентина
Cabazitaxel Германия, Дания, Испания, Финляндия
Cecalter Аргентина
Jevtana Австралия, Аргентина, Бельгия, Бразилия, Великобритания, Германия, Дания, Исландия, Испания, Италия, Канада, Колумбия, Малайзия, Мексика, Норвегия, Перу, Румыния, Словения, Соединённые Штаты Америки, Турция, Финляндия, Франция, чили, Швейцария, Эквадор
Proazitax Бразилия
Xatiza чили
Zitat Аргентина
Стабильность растворов   Инъекция   Стабильность растворов : Cabazitaxel     
Упаковка Растворитель Концентрация Температура Хранение Продолжительность стабильности Ссылки
Стекло Нет 10 mg/ml 4°C Защищён от света
28 День
3804
Уровень доказательности A

Стекло Конкретные растворителя 10 mg/ml -20°C Не указано
49 День
4800
Уровень доказательности A

частично использованные флаконы Нет 20 mg/ml 25°C Защищён от света
28 День
4761
Уровень доказательности A

Полиэтилен Натрия хлорид 0,9% 0,1 >>0,26 mg/ml 25°C Защищён от света
28 День
4761
Уровень доказательности A

Полиэтилен Глюкоза 5% 0,1 >>0,26 mg/ml 25°C Защищён от света
28 День
4761
Уровень доказательности A

Полипропилен Натрия хлорид 0,9% 0,1 >>0,26 mg/ml 2-8°C Защищён от света
28 День
4761
Уровень доказательности A

Полипропилен Глюкоза 5% 0,1 >>0,26 mg/ml 2-8°C Защищён от света
28 День
4761
Уровень доказательности A

Полиолефин Натрия хлорид 0,9% 0,1 mg/ml -20°C Не указано
49 День
4800
Уровень доказательности A

Полиолефин Натрия хлорид 0,9% 0,1 mg/ml 25°C Не указано
21 День
4800
Уровень доказательности A

Полиолефин Натрия хлорид 0,9% 0,1 mg/ml 4°C Не указано
21 День
4800
Уровень доказательности A

Полиолефин Натрия хлорид 0,9% 0,1 >>0,26 mg/ml 25°C Защищён от света
28 День
4761
Уровень доказательности A

Полиолефин Натрия хлорид 0,9% 0,10 >> 0,26 mg/ml 2-8°C Не указано
48 Час
3237
Данные по стабльности от изготовителя

Полиолефин Натрия хлорид 0,9% 0,10 >> 0,26 mg/ml 25°C Не указано
8 Час
3237
Данные по стабльности от изготовителя

Полиолефин Натрия хлорид 0,9% 0,15 mg/ml 25°C Защищён от света
28 День
3804
Уровень доказательности A

Полиолефин Натрия хлорид 0,9% 0,15 mg/ml 4°C Защищён от света
28 День
3804
Уровень доказательности A

Полиолефин Натрия хлорид 0,9% 0,26 mg/ml -20°C Не указано
49 День
4800
Уровень доказательности A

Полиолефин Натрия хлорид 0,9% 0,26 mg/ml 25°C Не указано
21 День
4800
Уровень доказательности A

Полиолефин Натрия хлорид 0,9% 0,26 mg/ml 4°C Не указано
21 День
4800
Уровень доказательности A

Полиолефин Глюкоза 5% 0,1 mg/ml -20°C Не указано
49 День
4800
Уровень доказательности A

Полиолефин Глюкоза 5% 0,1 mg/ml 25°C Не указано
21 День
4800
Уровень доказательности A

Полиолефин Глюкоза 5% 0,1 mg/ml 4°C Не указано
21 День
4800
Уровень доказательности A

Полиолефин Глюкоза 5% 0,1 >>0,26 mg/ml 25°C Защищён от света
28 День
4761
Уровень доказательности A

Полиолефин Глюкоза 5% 0,10 >> 0,26 mg/ml 2-8°C Не указано
48 Час
3237
Данные по стабльности от изготовителя

Полиолефин Глюкоза 5% 0,10 >> 0,26 mg/ml 25°C Не указано
8 Час
3237
Данные по стабльности от изготовителя

Полиолефин Глюкоза 5% 0,26 mg/ml -20°C Не указано
49 День
4800
Уровень доказательности A

Полиолефин Глюкоза 5% 0,26 mg/ml 25°C Не указано
21 День
4800
Уровень доказательности A

Полиолефин Глюкоза 5% 0,26 mg/ml 4°C Не указано
21 День
4800
Уровень доказательности A


  Mentions Légales