Letztes “update” :
18/03/2026
Antikrebsmittel   Cabazitaxel  
Injektion
Stabilität der Lösung Gemengestabilität Stabilitätbeeinflussende Faktoren Kompatibilitäten Applikationsart Literaturverzeichnis pdf
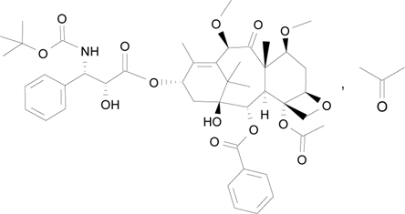
   Chemische Struktur  

Handelsmarke   Handelsmarke     

Handelsnamen sind als beispielhaft anzusehen. Sonstige Bestandteile können je nach Hersteller oder Land verschieden sein

Cabazil Argentinien
Cabazitaxel Dänemark, Deutschland, Finnland, Spanien
Cecalter Argentinien
Jevtana Argentinien, Australien, Belgien, Brasilien, Chile, Dänemark, Deutschland, Ecuador, Finnland, Frankreich, Großbritannien, Island, Italien, Kanada, Kolumbien, Malaysia, Mexiko, Norwegen, Peru, Rumänien, Schweiz, Slowenien, Spanien, Türkei, Vereinigte Staaten von Amerika
Proazitax Brasilien
Xatiza Chile
Zitat Argentinien
Stabilität der Lösung   Injektion   Stabilität der Lösung : Cabazitaxel     
Behälter Lösungsmittel Konzentration Temperatur Konservierung Dauer der Stabilität Literaturverzeichnis
Glas Kein 10 mg/ml 4°C Ohne Licht
28 Tag
3804
Evidenzgrad A

Glas spezifische Lösungsmittel 10 mg/ml -20°C Nicht genau angegeben
49 Tag
4800
Evidenzgrad A

teilweise gebrauchte Fläschchen Kein 20 mg/ml 25°C Ohne Licht
28 Tag
4761
Evidenzgrad A

Polyäthylen 0,9% Natriumchlorid 0,1 >>0,26 mg/ml 25°C Ohne Licht
28 Tag
4761
Evidenzgrad A

Polyäthylen 5% Glucose 0,1 >>0,26 mg/ml 25°C Ohne Licht
28 Tag
4761
Evidenzgrad A

Polypropylen 0,9% Natriumchlorid 0,1 >>0,26 mg/ml 2-8°C Ohne Licht
28 Tag
4761
Evidenzgrad A

Polypropylen 5% Glucose 0,1 >>0,26 mg/ml 2-8°C Ohne Licht
28 Tag
4761
Evidenzgrad A

Polyolefin 0,9% Natriumchlorid 0,1 mg/ml -20°C Nicht genau angegeben
49 Tag
4800
Evidenzgrad A

Polyolefin 0,9% Natriumchlorid 0,1 mg/ml 25°C Nicht genau angegeben
21 Tag
4800
Evidenzgrad A

Polyolefin 0,9% Natriumchlorid 0,1 mg/ml 4°C Nicht genau angegeben
21 Tag
4800
Evidenzgrad A

Polyolefin 0,9% Natriumchlorid 0,1 >>0,26 mg/ml 25°C Ohne Licht
28 Tag
4761
Evidenzgrad A

Polyolefin 0,9% Natriumchlorid 0,10 >> 0,26 mg/ml 2-8°C Nicht genau angegeben
48 Stunde
3237
Stabilitätsdaten des Herstellers

Polyolefin 0,9% Natriumchlorid 0,10 >> 0,26 mg/ml 25°C Nicht genau angegeben
8 Stunde
3237
Stabilitätsdaten des Herstellers

Polyolefin 0,9% Natriumchlorid 0,15 mg/ml 25°C Ohne Licht
28 Tag
3804
Evidenzgrad A

Polyolefin 0,9% Natriumchlorid 0,15 mg/ml 4°C Ohne Licht
28 Tag
3804
Evidenzgrad A

Polyolefin 0,9% Natriumchlorid 0,26 mg/ml -20°C Nicht genau angegeben
49 Tag
4800
Evidenzgrad A

Polyolefin 0,9% Natriumchlorid 0,26 mg/ml 25°C Nicht genau angegeben
21 Tag
4800
Evidenzgrad A

Polyolefin 0,9% Natriumchlorid 0,26 mg/ml 4°C Nicht genau angegeben
21 Tag
4800
Evidenzgrad A

Polyolefin 5% Glucose 0,1 mg/ml -20°C Nicht genau angegeben
49 Tag
4800
Evidenzgrad A

Polyolefin 5% Glucose 0,1 mg/ml 25°C Nicht genau angegeben
21 Tag
4800
Evidenzgrad A

Polyolefin 5% Glucose 0,1 mg/ml 4°C Nicht genau angegeben
21 Tag
4800
Evidenzgrad A

Polyolefin 5% Glucose 0,1 >>0,26 mg/ml 25°C Ohne Licht
28 Tag
4761
Evidenzgrad A

Polyolefin 5% Glucose 0,10 >> 0,26 mg/ml 2-8°C Nicht genau angegeben
48 Stunde
3237
Stabilitätsdaten des Herstellers

Polyolefin 5% Glucose 0,10 >> 0,26 mg/ml 25°C Nicht genau angegeben
8 Stunde
3237
Stabilitätsdaten des Herstellers

Polyolefin 5% Glucose 0,26 mg/ml -20°C Nicht genau angegeben
49 Tag
4800
Evidenzgrad A

Polyolefin 5% Glucose 0,26 mg/ml 25°C Nicht genau angegeben
21 Tag
4800
Evidenzgrad A

Polyolefin 5% Glucose 0,26 mg/ml 4°C Nicht genau angegeben
21 Tag
4800
Evidenzgrad A


  Mentions Légales