Utolsó frissítés :
18/03/2026
rákellenes gyógyszer   Cabazitaxel  
Injekció
Az oldatok stabilitása A keverékek stabilitása Stabilitást befolyásoló tényezők Kompatibilitás Az alkalmazás módja Irodalom pdf
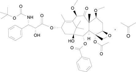
   Kémiai szerkezet   

Kereskedelmi név   Kereskedelmi név     

A kereskedelmi név meghatározó jelentőségű: a készítmények összetétele országonként, előállítóként eltérő lehet

Cabazil Argentína
Cabazitaxel Dánia, Finnország, Németország, Spanyolország
Cecalter Argentína
Jevtana Amerikai Egyesült Államok, Argentína, Ausztrália, Belgium, Brazília, Chile, Colombia, Dánia, Ecuador, Finnország, Franciaország, Izland, Kanada, Malaysia, Mexikó, Nagy-Britannia, Németország, Norvégia, Olaszország, Peru, Románia, Spanyolország, Svájc, Szlovénia, Törökország
Proazitax Brazília
Xatiza Chile
Zitat Argentína
Az oldatok stabilitása   Injekció   Az oldatok stabilitása : Cabazitaxel     
Csomagolás Oldószer Koncentráció Hőmérséklet Tárolás A stabilitás időtartama Irodalom
Üveg Egy sem 10 mg/ml 4°C Fénytől védve tartandó
28 Nap
3804
Szintű bizonyítékot A

Üveg egyedi oldószer 10 mg/ml -20°C Nincs meghatározva
49 Nap
4800
Szintű bizonyítékot A

részben használt palackok Egy sem 20 mg/ml 25°C Fénytől védve tartandó
28 Nap
4761
Szintű bizonyítékot A

Polietilén 0,9% nátrium-klorid 0,1 >>0,26 mg/ml 25°C Fénytől védve tartandó
28 Nap
4761
Szintű bizonyítékot A

Polietilén 5% glükóz 0,1 >>0,26 mg/ml 25°C Fénytől védve tartandó
28 Nap
4761
Szintű bizonyítékot A

Polipropilén 0,9% nátrium-klorid 0,1 >>0,26 mg/ml 2-8°C Fénytől védve tartandó
28 Nap
4761
Szintű bizonyítékot A

Polipropilén 5% glükóz 0,1 >>0,26 mg/ml 2-8°C Fénytől védve tartandó
28 Nap
4761
Szintű bizonyítékot A

Poliolefin 0,9% nátrium-klorid 0,1 mg/ml -20°C Nincs meghatározva
49 Nap
4800
Szintű bizonyítékot A

Poliolefin 0,9% nátrium-klorid 0,1 mg/ml 25°C Nincs meghatározva
21 Nap
4800
Szintű bizonyítékot A

Poliolefin 0,9% nátrium-klorid 0,1 mg/ml 4°C Nincs meghatározva
21 Nap
4800
Szintű bizonyítékot A

Poliolefin 0,9% nátrium-klorid 0,1 >>0,26 mg/ml 25°C Fénytől védve tartandó
28 Nap
4761
Szintű bizonyítékot A

Poliolefin 0,9% nátrium-klorid 0,10 >> 0,26 mg/ml 2-8°C Nincs meghatározva
48 Óra
3237
Gyártó stabilitási adatokra

Poliolefin 0,9% nátrium-klorid 0,10 >> 0,26 mg/ml 25°C Nincs meghatározva
8 Óra
3237
Gyártó stabilitási adatokra

Poliolefin 0,9% nátrium-klorid 0,15 mg/ml 25°C Fénytől védve tartandó
28 Nap
3804
Szintű bizonyítékot A

Poliolefin 0,9% nátrium-klorid 0,15 mg/ml 4°C Fénytől védve tartandó
28 Nap
3804
Szintű bizonyítékot A

Poliolefin 0,9% nátrium-klorid 0,26 mg/ml -20°C Nincs meghatározva
49 Nap
4800
Szintű bizonyítékot A

Poliolefin 0,9% nátrium-klorid 0,26 mg/ml 25°C Nincs meghatározva
21 Nap
4800
Szintű bizonyítékot A

Poliolefin 0,9% nátrium-klorid 0,26 mg/ml 4°C Nincs meghatározva
21 Nap
4800
Szintű bizonyítékot A

Poliolefin 5% glükóz 0,1 mg/ml -20°C Nincs meghatározva
49 Nap
4800
Szintű bizonyítékot A

Poliolefin 5% glükóz 0,1 mg/ml 25°C Nincs meghatározva
21 Nap
4800
Szintű bizonyítékot A

Poliolefin 5% glükóz 0,1 mg/ml 4°C Nincs meghatározva
21 Nap
4800
Szintű bizonyítékot A

Poliolefin 5% glükóz 0,1 >>0,26 mg/ml 25°C Fénytől védve tartandó
28 Nap
4761
Szintű bizonyítékot A

Poliolefin 5% glükóz 0,10 >> 0,26 mg/ml 2-8°C Nincs meghatározva
48 Óra
3237
Gyártó stabilitási adatokra

Poliolefin 5% glükóz 0,10 >> 0,26 mg/ml 25°C Nincs meghatározva
8 Óra
3237
Gyártó stabilitási adatokra

Poliolefin 5% glükóz 0,26 mg/ml -20°C Nincs meghatározva
49 Nap
4800
Szintű bizonyítékot A

Poliolefin 5% glükóz 0,26 mg/ml 25°C Nincs meghatározva
21 Nap
4800
Szintű bizonyítékot A

Poliolefin 5% glükóz 0,26 mg/ml 4°C Nincs meghatározva
21 Nap
4800
Szintű bizonyítékot A


  Mentions Légales