最新更新 :
18/03/2026
抗癌藥物   Cabazitaxel  
注射液
溶液稳定性 混合物稳定性 影响稳定性的因素 兼容性 用药途径 引用文献 PDF
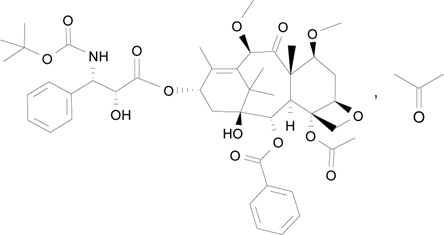
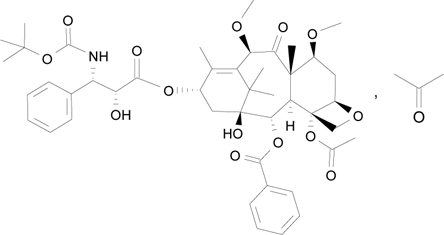
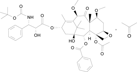
   化学式  

商品名   商品名     

商品名仅供参考, 药品所用的辅料可能依国家或厂商不同有所不同。

Cabazil 阿根廷
Cabazitaxel 丹麦, 德国, 芬兰, 西班牙
Cecalter 阿根廷
Jevtana 丹麦, 冰岛, 加拿大, 厄瓜多尔, 哥伦比亚, 土耳其, 墨西哥, 巴西, 德国, 意大利, 挪威, 斯洛文尼亚, 智利, 比利时, 法国, 澳大利亚, 瑞士, 秘鲁, 罗马尼亚, 美国, 芬兰, 英国, 西班牙, 阿根廷, 马来西亚
Proazitax 巴西
Xatiza 智利
Zitat 阿根廷
溶液稳定性   注射液   溶液稳定性 : Cabazitaxel     
容器 溶剂 浓度 温度 保存 穩定持續時間 引用文献
玻璃 无 10 mg/ml 4°C 避光
28 白天
3804
A级

玻璃 特定溶液 10 mg/ml -20°C 无特殊要求
49 白天
4800
A级

部分使用過的瓶子 无 20 mg/ml 25°C 避光
28 白天
4761
A级

聚乙烯 NaCl 0,9% 0,1 >>0,26 mg/ml 25°C 避光
28 白天
4761
A级

聚乙烯 葡萄糖5% 0,1 >>0,26 mg/ml 25°C 避光
28 白天
4761
A级

聚丙烯 NaCl 0,9% 0,1 >>0,26 mg/ml 2-8°C 避光
28 白天
4761
A级

聚丙烯 葡萄糖5% 0,1 >>0,26 mg/ml 2-8°C 避光
28 白天
4761
A级

聚烯烃 NaCl 0,9% 0,1 mg/ml -20°C 无特殊要求
49 白天
4800
A级

聚烯烃 NaCl 0,9% 0,1 mg/ml 25°C 无特殊要求
21 白天
4800
A级

聚烯烃 NaCl 0,9% 0,1 mg/ml 4°C 无特殊要求
21 白天
4800
A级

聚烯烃 NaCl 0,9% 0,1 >>0,26 mg/ml 25°C 避光
28 白天
4761
A级

聚烯烃 NaCl 0,9% 0,10 >> 0,26 mg/ml 2-8°C 无特殊要求
48 小时
3237
生产厂家提供的稳定性数据

聚烯烃 NaCl 0,9% 0,10 >> 0,26 mg/ml 25°C 无特殊要求
8 小时
3237
生产厂家提供的稳定性数据

聚烯烃 NaCl 0,9% 0,15 mg/ml 25°C 避光
28 白天
3804
A级

聚烯烃 NaCl 0,9% 0,15 mg/ml 4°C 避光
28 白天
3804
A级

聚烯烃 NaCl 0,9% 0,26 mg/ml -20°C 无特殊要求
49 白天
4800
A级

聚烯烃 NaCl 0,9% 0,26 mg/ml 25°C 无特殊要求
21 白天
4800
A级

聚烯烃 NaCl 0,9% 0,26 mg/ml 4°C 无特殊要求
21 白天
4800
A级

聚烯烃 葡萄糖5% 0,1 mg/ml -20°C 无特殊要求
49 白天
4800
A级

聚烯烃 葡萄糖5% 0,1 mg/ml 25°C 无特殊要求
21 白天
4800
A级

聚烯烃 葡萄糖5% 0,1 mg/ml 4°C 无特殊要求
21 白天
4800
A级

聚烯烃 葡萄糖5% 0,1 >>0,26 mg/ml 25°C 避光
28 白天
4761
A级

聚烯烃 葡萄糖5% 0,10 >> 0,26 mg/ml 2-8°C 无特殊要求
48 小时
3237
生产厂家提供的稳定性数据

聚烯烃 葡萄糖5% 0,10 >> 0,26 mg/ml 25°C 无特殊要求
8 小时
3237
生产厂家提供的稳定性数据

聚烯烃 葡萄糖5% 0,26 mg/ml -20°C 无特殊要求
49 白天
4800
A级

聚烯烃 葡萄糖5% 0,26 mg/ml 25°C 无特殊要求
21 白天
4800
A级

聚烯烃 葡萄糖5% 0,26 mg/ml 4°C 无特殊要求
21 白天
4800
A级


  Mentions Légales