Последно актуализиране :
17/12/2025
противораково лекарство   Cabazitaxel  
Инжекция/Инжекционен
Стабилност на разтвори Стабилност на смеси Фактори, повлияващи стабилността Съвместимост Път на въвеждане Библиография Pdf
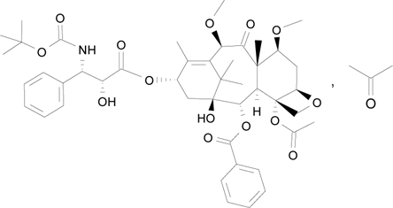
   Химична структура  

Търговско наименование   Търговско наименование     

Търговските имена са примерни и съставът на помощните вещества може да бъде различен в зависимост от държавата и лабораториите

Cabazil Аржентина
Cabazitaxel Германия, Дания, Испания, Финландия
Cecalter Аржентина
Jevtana Австралия, Аржентина, Белгия, Бразилия, Великобритания, Германия, Дания, Еквадор, Исландия, Испания, Италия, Канада, Колумбия, Малайзия, Мексико, Норвегия, Перу, Румъния, Словения, Съединени Американски щати / САЩ, Турция, Финландия, Франция, Чили, Швейцария
Proazitax Бразилия
Xatiza Чили
Zitat Аржентина
Стабилност на разтвори   Инжекция/Инжекционен   Стабилност на разтвори : Cabazitaxel     
Контейнер Разтворител Концентрация Температура Съхранение Продължителност на стабилността Библиография
Стъкло Няма 10 mg/ml 4°C Защита от светлина
28 Ден
3804
Степен на доказаност A

Стъкло Специфична разтворител 10 mg/ml -20°C Не е уточнено
49 Ден
4800
Степен на доказаност A

частично използвани бутилки Няма 20 mg/ml 25°C Защита от светлина
28 Ден
4761
Степен на доказаност A

Полиетилен Sodium chloride 0,9% 0,1 >>0,26 mg/ml 25°C Защита от светлина
28 Ден
4761
Степен на доказаност A

Полиетилен Glucose 5% 0,1 >>0,26 mg/ml 25°C Защита от светлина
28 Ден
4761
Степен на доказаност A

Полипропилен Sodium chloride 0,9% 0,1 >>0,26 mg/ml 2-8°C Защита от светлина
28 Ден
4761
Степен на доказаност A

Полипропилен Glucose 5% 0,1 >>0,26 mg/ml 2-8°C Защита от светлина
28 Ден
4761
Степен на доказаност A

Полиолефин Sodium chloride 0,9% 0,1 mg/ml -20°C Не е уточнено
49 Ден
4800
Степен на доказаност A

Полиолефин Sodium chloride 0,9% 0,1 mg/ml 25°C Не е уточнено
21 Ден
4800
Степен на доказаност A

Полиолефин Sodium chloride 0,9% 0,1 mg/ml 4°C Не е уточнено
21 Ден
4800
Степен на доказаност A

Полиолефин Sodium chloride 0,9% 0,1 >>0,26 mg/ml 25°C Защита от светлина
28 Ден
4761
Степен на доказаност A

Полиолефин Sodium chloride 0,9% 0,10 >> 0,26 mg/ml 2-8°C Не е уточнено
48 Час
3237
Данни за стабилност на производителя

Полиолефин Sodium chloride 0,9% 0,10 >> 0,26 mg/ml 25°C Не е уточнено
8 Час
3237
Данни за стабилност на производителя

Полиолефин Sodium chloride 0,9% 0,15 mg/ml 25°C Защита от светлина
28 Ден
3804
Степен на доказаност A

Полиолефин Sodium chloride 0,9% 0,15 mg/ml 4°C Защита от светлина
28 Ден
3804
Степен на доказаност A

Полиолефин Sodium chloride 0,9% 0,26 mg/ml -20°C Не е уточнено
49 Ден
4800
Степен на доказаност A

Полиолефин Sodium chloride 0,9% 0,26 mg/ml 25°C Не е уточнено
21 Ден
4800
Степен на доказаност A

Полиолефин Sodium chloride 0,9% 0,26 mg/ml 4°C Не е уточнено
21 Ден
4800
Степен на доказаност A

Полиолефин Glucose 5% 0,1 mg/ml -20°C Не е уточнено
49 Ден
4800
Степен на доказаност A

Полиолефин Glucose 5% 0,1 mg/ml 25°C Не е уточнено
21 Ден
4800
Степен на доказаност A

Полиолефин Glucose 5% 0,1 mg/ml 4°C Не е уточнено
21 Ден
4800
Степен на доказаност A

Полиолефин Glucose 5% 0,1 >>0,26 mg/ml 25°C Защита от светлина
28 Ден
4761
Степен на доказаност A

Полиолефин Glucose 5% 0,10 >> 0,26 mg/ml 2-8°C Не е уточнено
48 Час
3237
Данни за стабилност на производителя

Полиолефин Glucose 5% 0,10 >> 0,26 mg/ml 25°C Не е уточнено
8 Час
3237
Данни за стабилност на производителя

Полиолефин Glucose 5% 0,26 mg/ml -20°C Не е уточнено
49 Ден
4800
Степен на доказаност A

Полиолефин Glucose 5% 0,26 mg/ml 25°C Не е уточнено
21 Ден
4800
Степен на доказаност A

Полиолефин Glucose 5% 0,26 mg/ml 4°C Не е уточнено
21 Ден
4800
Степен на доказаност A


  Mentions Légales