Ultimo aggiornamento :
17/12/2025
farmaco contro il cancro   Cabazitaxel  
Iniezione
Stabilità in soluzione Stabilità in miscela Fattori che influenzano la stabilità Compatibilità metodo di iniezione Bibliografia pdf
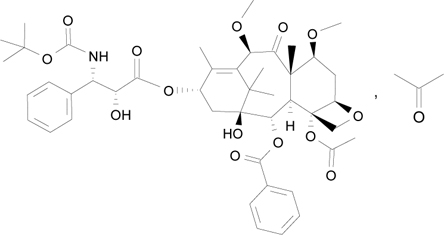
   Struttura chimica  

Nome commerciale   Nome commerciale     

Trade names are indicative and excipients composition can be different depending on the country and manufacturers

Cabazil Argentina
Cabazitaxel Danimarca, Finlandia, Germania, Spagna
Cecalter Argentina
Jevtana Argentina, Australia, Belgio, Brasile, Canada, Chile, Colombia, Danimarca, Ecuador, Finlandia, Francia, Germania, Gran Bretagna, Islanda, Italia, Malaysia, Messico, Norvegia, Perù, Romania, Slovenia, Spagna, Stati Uniti d’America, Svizzera, Turchia
Proazitax Brasile
Xatiza Chile
Zitat Argentina
Stabilità in soluzione   Iniezione   Stabilità in soluzione : Cabazitaxel     
contenitore Solvente Concentrazione Temperatura Conservazione Durata della stabilità Bibliografia
Vetro Nessuno 10 mg/ml 4°C Al riparo dalla luce
28 Giorno
3804
Livello di evidenza A

Vetro solvente specifico 10 mg/ml -20°C Non precisata
49 Giorno
4800
Livello di evidenza A

bottiglie parzialmente usate Nessuno 20 mg/ml 25°C Al riparo dalla luce
28 Giorno
4761
Livello di evidenza A

Polietilene Cloruro di sodio 0,9% 0,1 >>0,26 mg/ml 25°C Al riparo dalla luce
28 Giorno
4761
Livello di evidenza A

Polietilene Glucosio 5% 0,1 >>0,26 mg/ml 25°C Al riparo dalla luce
28 Giorno
4761
Livello di evidenza A

Polipropilene Cloruro di sodio 0,9% 0,1 >>0,26 mg/ml 2-8°C Al riparo dalla luce
28 Giorno
4761
Livello di evidenza A

Polipropilene Glucosio 5% 0,1 >>0,26 mg/ml 2-8°C Al riparo dalla luce
28 Giorno
4761
Livello di evidenza A

Poliolefina Cloruro di sodio 0,9% 0,1 mg/ml -20°C Non precisata
49 Giorno
4800
Livello di evidenza A

Poliolefina Cloruro di sodio 0,9% 0,1 mg/ml 25°C Non precisata
21 Giorno
4800
Livello di evidenza A

Poliolefina Cloruro di sodio 0,9% 0,1 mg/ml 4°C Non precisata
21 Giorno
4800
Livello di evidenza A

Poliolefina Cloruro di sodio 0,9% 0,1 >>0,26 mg/ml 25°C Al riparo dalla luce
28 Giorno
4761
Livello di evidenza A

Poliolefina Cloruro di sodio 0,9% 0,10 >> 0,26 mg/ml 2-8°C Non precisata
48 Ora
3237
Dati di stabilità del produttore

Poliolefina Cloruro di sodio 0,9% 0,10 >> 0,26 mg/ml 25°C Non precisata
8 Ora
3237
Dati di stabilità del produttore

Poliolefina Cloruro di sodio 0,9% 0,15 mg/ml 25°C Al riparo dalla luce
28 Giorno
3804
Livello di evidenza A

Poliolefina Cloruro di sodio 0,9% 0,15 mg/ml 4°C Al riparo dalla luce
28 Giorno
3804
Livello di evidenza A

Poliolefina Cloruro di sodio 0,9% 0,26 mg/ml -20°C Non precisata
49 Giorno
4800
Livello di evidenza A

Poliolefina Cloruro di sodio 0,9% 0,26 mg/ml 25°C Non precisata
21 Giorno
4800
Livello di evidenza A

Poliolefina Cloruro di sodio 0,9% 0,26 mg/ml 4°C Non precisata
21 Giorno
4800
Livello di evidenza A

Poliolefina Glucosio 5% 0,1 mg/ml -20°C Non precisata
49 Giorno
4800
Livello di evidenza A

Poliolefina Glucosio 5% 0,1 mg/ml 25°C Non precisata
21 Giorno
4800
Livello di evidenza A

Poliolefina Glucosio 5% 0,1 mg/ml 4°C Non precisata
21 Giorno
4800
Livello di evidenza A

Poliolefina Glucosio 5% 0,1 >>0,26 mg/ml 25°C Al riparo dalla luce
28 Giorno
4761
Livello di evidenza A

Poliolefina Glucosio 5% 0,10 >> 0,26 mg/ml 2-8°C Non precisata
48 Ora
3237
Dati di stabilità del produttore

Poliolefina Glucosio 5% 0,10 >> 0,26 mg/ml 25°C Non precisata
8 Ora
3237
Dati di stabilità del produttore

Poliolefina Glucosio 5% 0,26 mg/ml -20°C Non precisata
49 Giorno
4800
Livello di evidenza A

Poliolefina Glucosio 5% 0,26 mg/ml 25°C Non precisata
21 Giorno
4800
Livello di evidenza A

Poliolefina Glucosio 5% 0,26 mg/ml 4°C Non precisata
21 Giorno
4800
Livello di evidenza A


  Mentions Légales