Останнє оновлення :
17/12/2025
Протипухлинний препарат   Cabazitaxel  
ін'єкція
Стійкість в розчинах Стійкість сумішей Фактори, що впливають на стабільність Сумісність Шлях введення Список літератури pdf
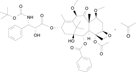
   Хімічна структура  

Торгова назва   Торгова назва     

Торгові назви є орієнтовними, а склад допоміжних речовин може бути різним залежно від країни та виробника

Cabazil Аргентина
Cabazitaxel Іспанія, Данія, Німеччина, Фінляндія
Cecalter Аргентина
Jevtana Ісландія, Іспанія, Італія, Австралія, Аргентина, Бельгія, Бразилія, Великобританія, Данія, Еквадор, Канада, Колумбія, Малайзія, Мексика, Німеччина, Норвегія, Перу, Румунія, Словенія, Сполучені Штати Америки, Туреччина, Фінляндія, Франція, Чилі, Швейцарія
Proazitax Бразилія
Xatiza Чилі
Zitat Аргентина
Стійкість сумішей   ін'єкція   Стійкість сумішей : Cabazitaxel     
7 / 5 000 Résultats de traduction Немає даних

  Mentions Légales