Son güncelleme :
17/12/2025
kanser ilaç   Cabazitaxel  
Enjeksiyon
Çözeltilerin stabilitesi Karışımlardaki stabilitesi Stabiliteyi etkileyen faktörler Uyumluluk Uygulama yöntemi Kaynaklar pdf
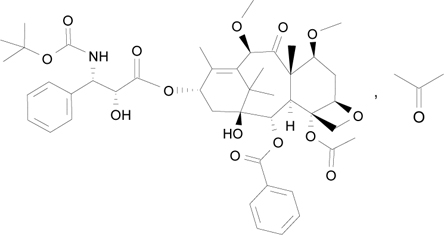
   Kimyasal yapı   

Ticari isim   Ticari isim     

Trade names are indicative and excipients composition can be different depending on the country and manufacturers

Cabazil Arjantin
Cabazitaxel Almanya, Danimarka, Finlandiya, İspanya
Cecalter Arjantin
Jevtana Almanya, Amerika Birleşik Devletleri, Arjantin, Avustralya, Belçika, Brezilya, Büyük Britanya, Danimarka, Ekvador, Finlandiya, Fransa, İspanya, İsviçre, İtalya, İzlanda, Kanada, Kolombiya, Malezya, Meksika, Norveç, Peru, Romanya, Şili, Slovenya, Türkiye
Proazitax Brezilya
Xatiza Şili
Zitat Arjantin
Karışımlardaki stabilitesi   Enjeksiyon    Karışımlardaki stabilitesi : Cabazitaxel     
veri yok

  Mentions Légales