Last update :
17/12/2025
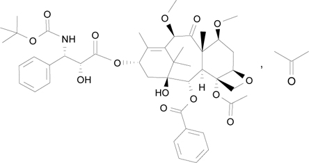
Anticancer drug   Cabazitaxel  
injection
Stability in solutions Stability of mixtures Factors which affect stability Compatibility Route of administration References pdf
   Chemical structure  

Tradename   Tradename     

Trade names are indicative and excipients composition can be different depending on the country and manufacturers

Cabazil Argentina
Cabazitaxel Denmark, Finland, Germany, Spain
Cecalter Argentina
Jevtana Argentina, Australia, Belgium, Brazil, Canada, Chile, Colombia, Denmark, Ecuador, Finland, France, Germany, Great Britain, Iceland, Italy, Malaysia, Mexico, Norway, Peru, Romania, Slovenia, Spain, Switzerland, Turkey, United States of America
Proazitax Brazil
Xatiza Chile
Zitat Argentina
Stability of mixtures   injection   Stability of mixtures : Cabazitaxel     
No data

  Mentions Légales