Seneste opdatering :
17/12/2025
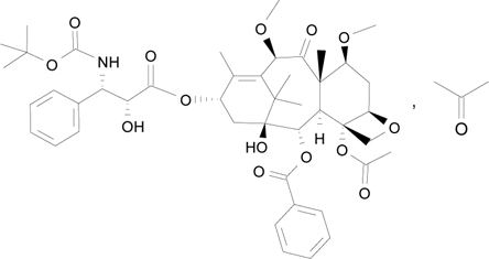
anticancer medicin   Cabazitaxel  
Injektion
Stabilitet i (vandige) opløsninger Stabilitet i blandinger Faktorer der påvirker stabiliteten Kompatibilitet Administrationsvej Bibliografi pdf
   Kemisk struktur  

Handelsnavn   Handelsnavn     

Handel navne er vejledende og hjælpestoffer sammensætning kan være forskellig afhængigt af landet og laboratorier

Cabazil Argentina
Cabazitaxel Danmark, Finland, Spanien, Tyskland
Cecalter Argentina
Jevtana Argentina, Australien, Belgien, Brasilien, Canada, Chile, Colombia, Danmark, Ecuador, Finland, Frankrig, Island, Italien, Malaysia, Marokko, Mexico, Norge, Rumænien, Schweiz, Slovenien, Spanien, Storbritanien, Tyrkiet, Tyskland, USA
Proazitax Brasilien
Xatiza Chile
Zitat Argentina
Stabilitet i blandinger   Injektion   Stabilitet i blandinger : Cabazitaxel     
Ingen data

  Mentions Légales