Posledná aktualizácia :
17/12/2025
Protinádorová liečba   Cabazitaxel  
Injekcia
Stabilita roztokov Stabilita v zmesiach Faktory ovplyvňujúce stabilitu Kompatibility spôsob podania Odkazy na literatúru PDF
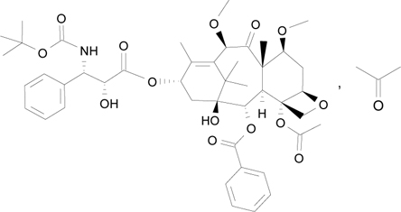
   Chemický vzorec  

Obchodný názov   Obchodný názov     

Obchodné názvy sú orientačné, a zloženie pomocných látok sa môže líšiť v závislosti od krajiny a výrobcu.

Cabazil Argentína
Cabazitaxel Dánsko, Fínsko, Nemecko, Španielsko
Cecalter Argentína
Jevtana Argentína, Austrália, Belgicko, Brazília, Čile, Dánsko, Ekvádor, Fínsko, Francúzsko, Island, Kanada, Kolumbia, Malajzia, Mexiko, Nemecko, Nórsko, peru, Rumunsko, Slovinsko, Španielsko, Spojené štáty Americké, Švajčiarsko, Taliansko, Turecko, Veľká Británia
Proazitax Brazília
Xatiza Čile
Zitat Argentína
Stabilita v zmesiach   Injekcia   Stabilita v zmesiach : Cabazitaxel     
žiadne údaje

  Mentions Légales